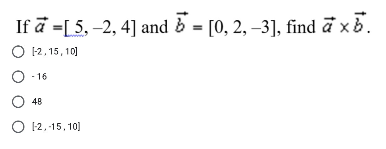
Question: If a =[ 5, -2, 4] and b = [0, 2, -3], find a x b . [-2, 15, 10] O - 16 O 48
![If a =[ 5, -2, 4] and b = [0, 2,](https://s3.amazonaws.com/si.experts.images/answers/2024/06/666820f5352cf_213666820f5197a7.jpg)
![-3], find a x b . [-2, 15, 10] O - 16](https://s3.amazonaws.com/si.experts.images/answers/2024/06/666820f58ef70_213666820f56b4c3.jpg)
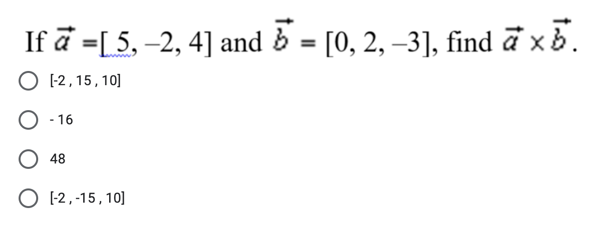
If a =[ 5, -2, 4] and b = [0, 2, -3], find a x b . [-2, 15, 10] O - 16 O 48 [-2, -15, 10]
Step by Step Solution
There are 3 Steps involved in it
Get step-by-step solutions from verified subject matter experts
