Question: If anyone could help me, please do so! Please provide detailed solutions on paper written down. Thank you! 11. Carbon-14 is a radioactive substance produced







If anyone could help me, please do so! Please provide detailed solutions on paper written down. Thank you!







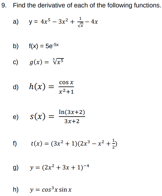
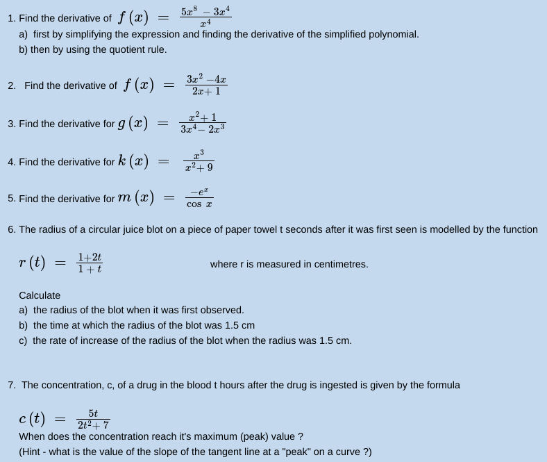
11. Carbon-14 is a radioactive substance produced in the Earth's atmosphere and then absorbed by plants and animals on the surface of the earth. It has a half- life (the time it takes for half the amount of a sample to decay) of approximately 5730 years. Using this known piece of information scientists can date objects such as the Dead Sea Scrolls. {5 marks) Thefunction N(f) = No?" represents the exponentialdecay ota radioactive substance. N is the amount remaining after time tin years. No is the initial amount of the substance and it is the decay constant. (A = 1.21 x 104') a) It the percentage of carbon-14 atoms remaining in a sample is T'SEVD, how old is the sample? b) Find the rate of change of an initial amount of 1 gm of Carbon-14 found in the scrolls. if the decay constant is given as A = 1.21 x 10'4. 12. The vdlume of water. 'v' litres, in a tankt minutes after the tank has started to drain is given by the fdrn'lula- Wt) = 1000(25 :2) , u s t s 5 How fast is the water draining after 2 minutes 13' [3 marks) 13. An object starts at t = D and moves in a straight line. It's distance. d in metres. from it's starting paint at time t seconds is given by the equation - 4t 1+t:2 d(t) = How far is the abject from the starting point when it's velocity is U mis. (4 marks} s 4 1. Find the derivative of f (I) = % a] first by simplifying the expression and finding the derivative of the simplified polynomial. b] then by using the quotient rule. 2 _ 2. Find the derivative of f (LE) H 2 3. Find the derivative for g (at) = Is 4. Find the derivative for k (:13) 2 32+ 9 . . . er 5. FInd the derivatIve for m (:13) 2 ms :1: E. The radius of a circular juice blot on a piece of paper towel t seconds after it was first seen is modelled by the function f" (t) = iLf: where r is measured in centimetres. Calculate a] the radius of the blot when it was rst observed. b] the time at which the radius of the blot was 1.5 cm c} the rate of increase of the radius of the blot when the radius was 1.5 cm. T. The concentration, c1 of a drug in the blood t hours after the drug is ingested is given by the formula C(t) : 2:25;? 1I.I'i.ihen does the concentration reach it's maximum {peak} value ".7 [Hint - what is the value of the slope of the tangent line at a "peak" on a curve '9]
Step by Step Solution
There are 3 Steps involved in it
Get step-by-step solutions from verified subject matter experts
