Question: If the critical numbers are not correct, state the errors and present the correct critical numbers. If the critical numbers are correct, apply the First

- If the critical numbers are not correct, state the errors and present the correct critical numbers.
- If the critical numbers are correct, apply the First Derivative Test to label each critical number as a relative minimum, relative maximum, or neither.

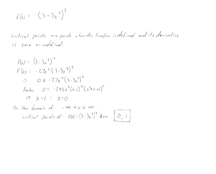
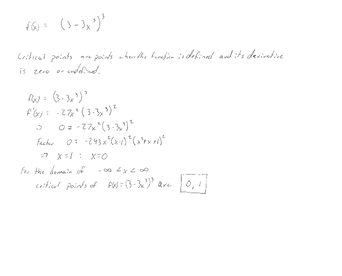
f ( x ) = (3 - 3 * ' )' Critical points are points wherethe function is defined and it's derivative is zero or undefined. fix / = (3- 3 x ? ) " Ple ) : - 27 x 2 ( 3 . 3 x 3 ) 2 0= . 27 * 2 ( 3 - 32 " ) 2 Factor 1 = - 243 x ( x - 1 ) 2 ( x 4 * + 1 ) 7 x7 : X:0 For the domain of - 60 4x2 02 critical points of Pad = (3- 3x ) are
Step by Step Solution
There are 3 Steps involved in it
Get step-by-step solutions from verified subject matter experts
