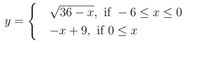
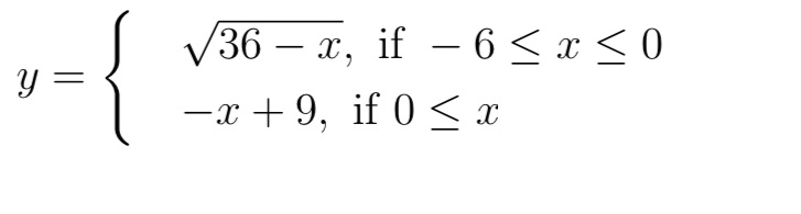
Question: If the equation represents a function, draw multiple vertical lines (representing all vertical lines) on your plot from part a) to explain why.If the equation

If the equation represents a function, draw multiple vertical lines (representing all vertical lines) on your plot from part a) to explain why.If the equation does not represent a function, draw one vertical line on your plot from part a) and explain why

Step by Step Solution
There are 3 Steps involved in it
Get step-by-step solutions from verified subject matter experts
