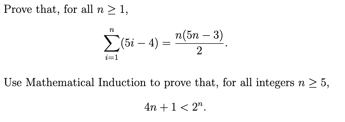
Question: If x and y are integers, is 9 a factor of 3x . 15y?Prove that, for all n 2 1, 52 3 :(52' 4): (n




If x and y are integers, is 9 a factor of 3x . 15y?Prove that, for all n 2 1, 52 3 :(52' 4): (n n ) Use Mathematical Induction to prove that, for all integers n 2 5, 4n+1
Step by Step Solution
There are 3 Steps involved in it
1 Expert Approved Answer
Step: 1 Unlock
Question Has Been Solved by an Expert!
Get step-by-step solutions from verified subject matter experts
Step: 2 Unlock
Step: 3 Unlock
