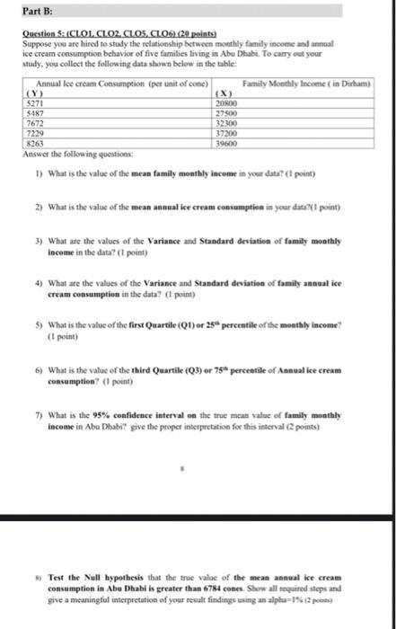
Question: if you cant do all, do anything please Part B: Question S: (CLOL CLO2. CLOS, CLOO (20 points Suppose you are hired to stay the
if you cant do all, do anything please
Step by Step Solution
There are 3 Steps involved in it
1 Expert Approved Answer
Step: 1 Unlock
Question Has Been Solved by an Expert!
Get step-by-step solutions from verified subject matter experts
Step: 2 Unlock
Step: 3 Unlock
