Question: IFRS. Please answer the whole exercise I'll give you thumbs up! Thank you Measurement of impairment loss and R&D Cowboy Luke, a publicly listed London
IFRS. Please answer the whole exercise I'll give you thumbs up! Thank you

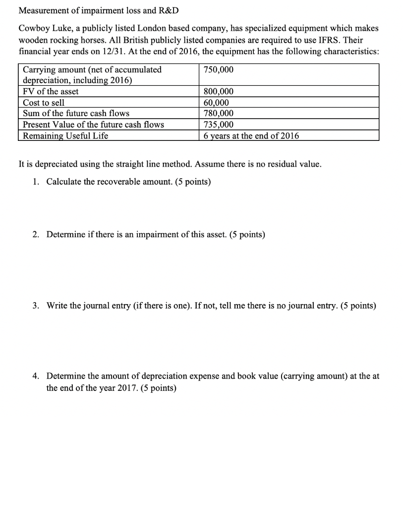
Measurement of impairment loss and R&D Cowboy Luke, a publicly listed London based company, has specialized equipment which makes wooden rocking horses. All British publicly listed companies are required to use IFRS. Their financial year ends on 12/31. At the end of 2016, the equipment has the following characteristics: Carrying amount (net of accumulated depreciation, including 2016) FV of the asset Cost to sell Sum of the future cash flows Present Value of the future cash flows Remaining Useful Life 750,000 800,000 60,000 780,000 735,000 6 years at the end of 2016 It is depreciated using the straight line method. Assume there is no residual value. 1. Calculate the recoverable amount. (5 points) 2. Determine if there is an impairment of this asset. (5 points) Write the journal entry (if there is one). If not, tell me there is no journal entry. (5 points) 4. Determine the amount of depreciation expense and book value (carrying amount) at the at the end of the year 2017. (5 points)
Step by Step Solution
There are 3 Steps involved in it
Get step-by-step solutions from verified subject matter experts
