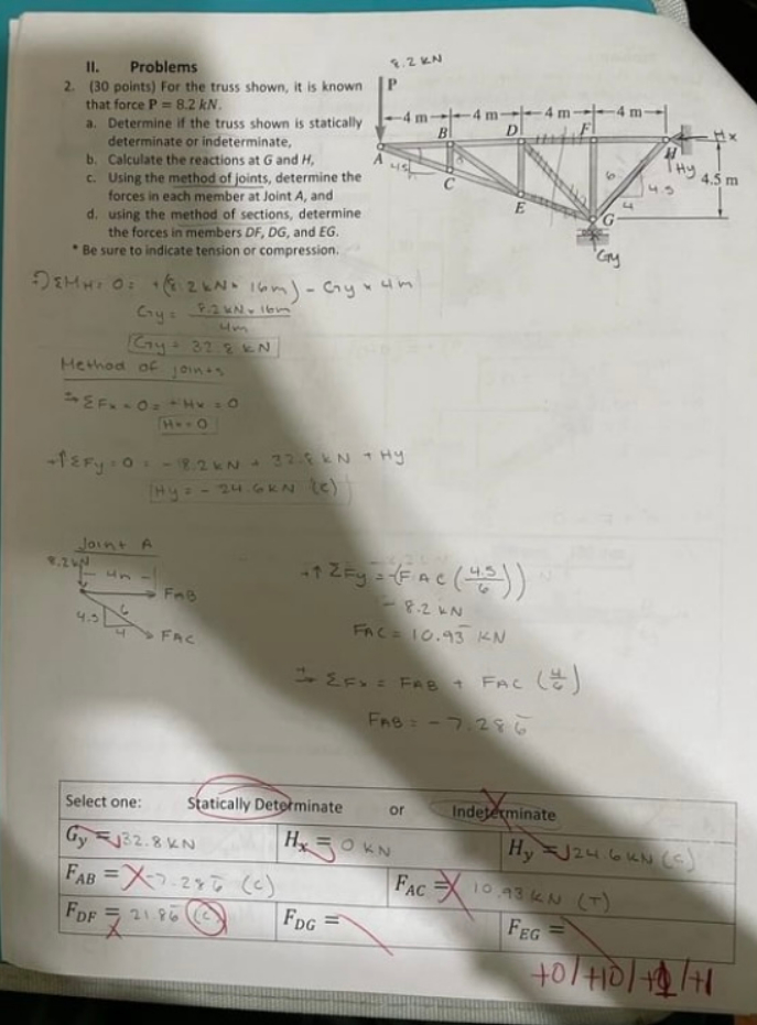
Question: II . Problems ( 3 0 points ) For the truss shown, it is known that force P = 8 . 2 k N .
II Problems
points For the truss shown, it is known
that force
a Determine if the truss shown is statically
determinate or indeterminate,
b Calculate the reactions at and H
c Using the method of joints, determine the
forces in each member at Joint and
d using the method of sections, determine
the forces in members and EG
Be sure to indicate tension or compression.
Step by Step Solution
There are 3 Steps involved in it
1 Expert Approved Answer
Step: 1 Unlock
Question Has Been Solved by an Expert!
Get step-by-step solutions from verified subject matter experts
Step: 2 Unlock
Step: 3 Unlock
