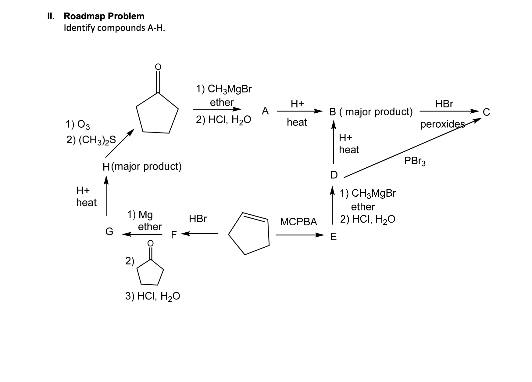
Question: II . Roadmap Problem Identify compounds A - H . H C l , H 2 O
II Roadmap Problem Identify compounds AH
Step by Step Solution
There are 3 Steps involved in it
1 Expert Approved Answer
Step: 1 Unlock
Question Has Been Solved by an Expert!
Get step-by-step solutions from verified subject matter experts
Step: 2 Unlock
Step: 3 Unlock
