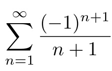
Question: I'm having a hard time with this problem.. it is from calc 2. Can you please help me with detailed steps?? How can I use

I'm having a hard time with this problem.. it is from calc 2. Can you please help me with detailed steps??
How can I use alternating series test to determine if the series converges??

(- 1 n+1 n=]
Step by Step Solution
There are 3 Steps involved in it
Get step-by-step solutions from verified subject matter experts
