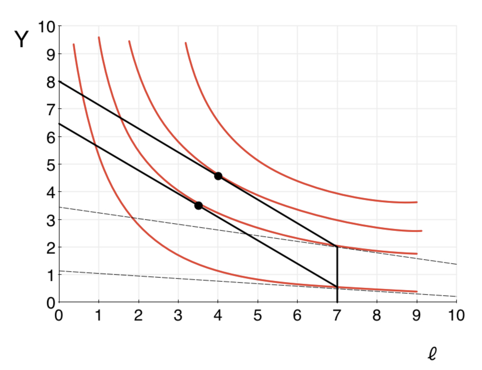
Question: I'm having trouble with this question. Suppose marginal utility from leisure is given by 0.620-5/(c0- and marginal utility from consumption is given by 1.5c-2I(-5) and
I'm having trouble with this question.


Suppose marginal utility from leisure is given by 0.620-5/(c0- and marginal utility from consumption is given by 1.5c-2I(-5) and that an individual can work up to 21 hours per day at a wage of $17 per hour. A. What must be true about the wage in order for a given worker to be a participant? Give the mathematical condition which expresses this. Now write the two mathematical conditions which a participant's optimal choice must satisfy (write them in terms of c and I rather than Y and t). B. Write the mathematical formula for this worker's marginal rate of substitution between leisure and labour. For this utility function, write the reservation wage as a function in terms of non-labour income YN and time available T. If YN=$248 then WR= . In this case will the individual choose to work? (Enter "1" for yes, "-1" for no. Enter "0" if the individual is indifferent.) If YN=$707 then W\": . In this case will the individual choose to work? (Enter "1" for yes, "-1" for no. Enter "0" if the individual is indifferent.) 0. Suppose YN=$5278. Write the formula for this individual's potential income constraint. This individual will choose to work hours. So they will have hours of leisure and spend $ on consumption. D. Suppose YN=$20. Write the formula for this individual's potential income constraint. This individual will choose to work hours. So they will have hours of leisure and spend $ on consumption.
Step by Step Solution
There are 3 Steps involved in it
Get step-by-step solutions from verified subject matter experts
