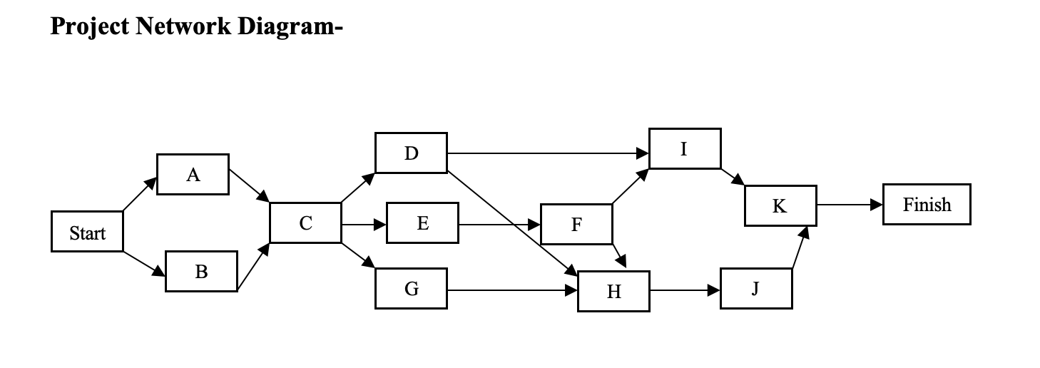
Question: + Immediate Most Activity A Description Optimistic Pessimistic Predecessor Probable Determine equipment needs 4 6 8 B Obtain vendor proposals 6 8 16 C



+ Immediate Most Activity A Description Optimistic Pessimistic Predecessor Probable Determine equipment needs 4 6 8 B Obtain vendor proposals 6 8 16 C Select vendor A, B 2 4 6 D Order system C 8 10 24 E Design new warehouse layout C 60 9 12 F Design warehouse E 4 6 8 G Design computer interface C 4 6 20 H Interface computer D, F, G 4 6 8 | Install system D, F 4 6 14 J Train system operators H 3 5 K Test system I, J 2 4 60 Activity Optimistic Most Probable Pessimistic Expected Time Variance ES EF LS LF A 4 6 8 B 6 8 16 C 2 4 6 D 8 10 24 E 6 9 12 =(B2+4*C2+D2)/6 =(B3+4 C3+D3)/6 =(B4+4 C4+D4)/6 =(B5+4*C5+D5)/6 =(B6+4*C6+D6)/6 =((D2-B2)/6)^2 =((D3-B3)/6)^2 0 =G2+E2 =J2-E2 =MIN(16:17) 0 =G3+E3 =J3-E3 =14 =J4 =((D4-B4)/6)^2 =H3 =G4+E4 =J4-E4 =16 =J6 =((D5-B5)/6)^2 =H4 =G5+E5 =J5-E5 =19 =J9 =((D6-B6)/6)^2 =H4 =G6+E6 =J6-E6 |=17 =J7 F 4 6 8 =(B7+4*C7+D7)/6 =((D7-B7)/6)^2 =H6 =G7+E7 =J7-E7 =19 EJ9 G 4 6 20 =(B8+4*C8+D81/6 =((D8-B8)/6)^2 =H4 =G8+E8 =J8-E8 =19 =J9 H 4 6 8 =(B9+4*C9+D9)/6 =((D9-89)/6)^2 =H4 =G9+E9 =J9-E9 =11 |=J11 4 6 14 =(B10+4*C10+D10)/6 =((D10-B10)/6)^2 =G7 =G10+E10 =J10-E10 =112 =110-G10 J 3 4 5 =(B11+4*C11+D11)/6 K 2 4 6 =(B12+4*C12+D12]/6 =((D11-B11)/6)^2 =((D12-B12)/6)^2 =H9 |=G11+E11 |=J11-E11 =112 |=|11-G11 =H11 =G12+E12 =J12-E12 =H12 |=|12-G12 Slack Activity Optimistic Most Probable Expected Pessimistic Variance ES EF LS LF Slack Time A 4 6 8 6 0.44 0 6 1 7 B 6 8 16 9 2.78 0 9 -15 -6 -2 C 2 4 6 4 0.44 9 13 -6 -2 7 D 8 10 24 12 7.11 13 25 1 13 19 E 6 9 12 9 1.00 13 22 -2 7 13 F 4 6 8 6 0.44 22 28 7 13 19 G 4 6 20 8 7.11 13 21 5 13 19 H 4 6 8 6 0.44 13 19 13 19 23 | 4 6 14 7 2.78 22 29 16 23 -6 J 3 4 5 4 0.11 19 23 19 23 0 K 2 4 6 4 0.44 23 27 23 27 0 Project Network Diagram- Start D A B G E F H J K Finish
Step by Step Solution
There are 3 Steps involved in it
Get step-by-step solutions from verified subject matter experts
