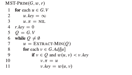
Question: Implement prims algorithm in java using the following psuedo code. Then generate 100 random inputs of size 10 to test the code. Also count the
Implement prims algorithm in java using the following psuedo code. Then generate 100 random inputs of size 10 to test the code. Also count the number of steps it took to run the algorithm.

MST-PRIM (G, w, r) 1 for each u E G. V u.key NIL u. JT 4 r. key 5 6 while 7 u EXTRACT-MIN(Q) 8 for each v E G. Adjlu if v E Q and w (u, v) v.key 10 v. u (u, v) 11 v.key
Step by Step Solution
There are 3 Steps involved in it
Get step-by-step solutions from verified subject matter experts
