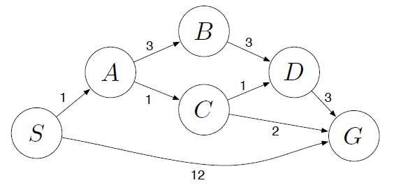
Question: Implement uniform cost search strategy in c programming language and use the map below as sample and place it in your tree:. You may use
Implement uniform cost search strategy in c programming language and use the map below as sample and place it in your tree:. You may use tree, queue and stack structures in your implementation.
note: dont forget to use the map below and please copy paste the code and share the screenshot of the compiler.

B 3 3 A D 1 1 1 3 C S 2 G 12
Step by Step Solution
There are 3 Steps involved in it
Get step-by-step solutions from verified subject matter experts
