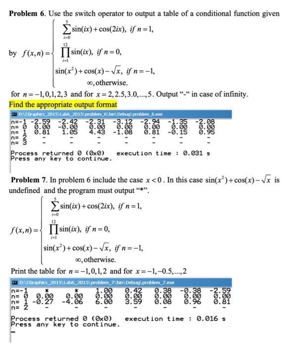
Question: in C language Problem 6. Use the switch operator to output a table of a conditional function given by f(x,n)=i=05sin(ix)+cos(2ix),ifn=1,i=112sin(ix),ifn=0,sin(x2)+cos(x)x,ifn=1,,otherwise. for n=1,0,1,2,3 and for x=2,2.5,3.0,,5.
Problem 6. Use the switch operator to output a table of a conditional function given by f(x,n)=i=05sin(ix)+cos(2ix),ifn=1,i=112sin(ix),ifn=0,sin(x2)+cos(x)x,ifn=1,,otherwise. for n=1,0,1,2,3 and for x=2,2.5,3.0,,5. Output "_" in case of infinity. Find the appropriate output format n=0n=1n=0n=1n=2n=32.590.000.812.420.001.052.310.004.433.120.001.082.940.000.811.350.000.152.080.000.95 Process returned (00) execution time : 0.031s Press any key to continue. Problem 7. In problem 6 include the case x
Step by Step Solution
There are 3 Steps involved in it
Get step-by-step solutions from verified subject matter experts
