Question: . In class, when we computed a mortgage, we set P(n) to be the amount owed on the loan after a months, and approximated the


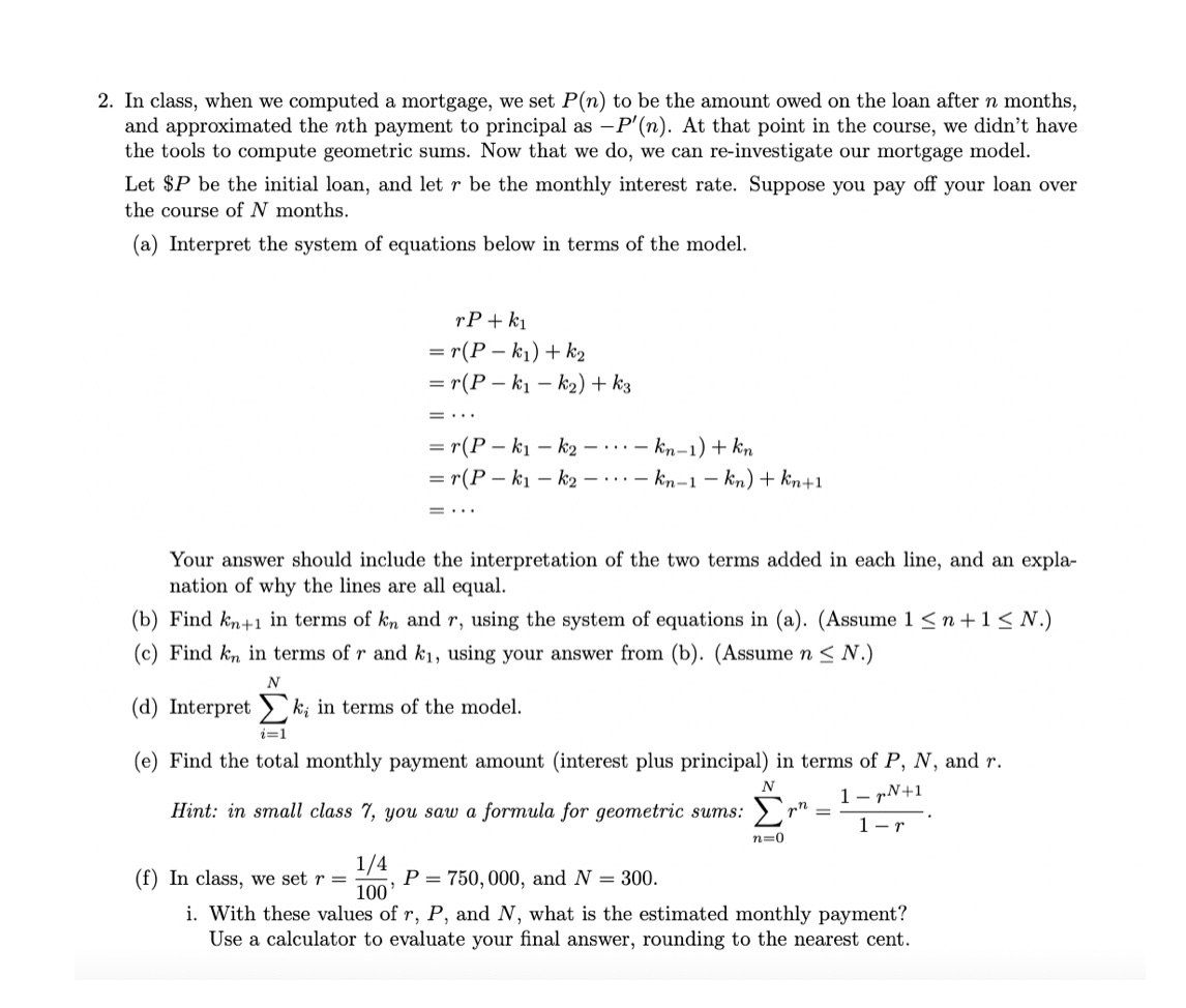
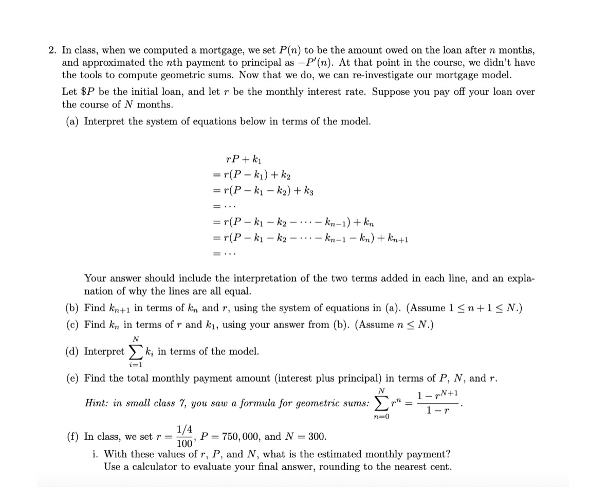
. In class, when we computed a mortgage, we set P(n) to be the amount owed on the loan after a months, and approximated the nth payment to principal as P'(rt). At that point in the course, we didn't have the tools to compute geometric sums. Now that we do, we can re-iuvestigate our mortgage model. Let $P be the initial loan, and let 1" be the monthly interest rate. Suppose you pay off your loan over the course of N months. (a) Interpret the system of equations below in terms of the model. T'P-ikl =T(Pk1)+k2 =r(Pk1k2)+k3 =T(Pk1k2"'_kn1)+kn =T(PIC1k2"'kn1_kn)+kn+l Your answer should include the interpretation of the two terms added in each line, and an expla- nation of why the lines are all equal. (b) Find kn.\" in terms of R1,. and 1', using the system of equations in (a). (Assume 1 S n + 1 g N.) (c) Find k... in terms of \"r and it], using your answer from (b). (Assume n S N.) N (d) Interpret Z: in in terms of the model. \"(:1 (e) Find the total monthly payment amount (interest plus principal) in terms of P, N, and r. N N+1 1 _ Hint: in small class 7, you saw a formula for" geometric sums: E 1"\" = 1; n=0 1" 1/4 (f) In class, we set 7' = E' P = 750,000, and N = 300. i. With these values of r, P, and N , what is the estimated monthly payment? Use a calculator to evaluate your nal answer, rounding to the nearest cent
Step by Step Solution
There are 3 Steps involved in it
Get step-by-step solutions from verified subject matter experts
