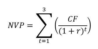
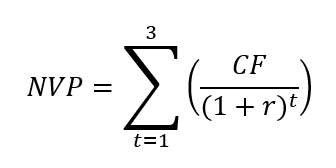
Question: In Excel how do I do Summation below: CF and r values are assigned values t ranges from 1 to 3.

In Excel how do I do Summation below: CF and r values are assigned values t ranges from 1 to 3.

Step by Step Solution
There are 3 Steps involved in it
Get step-by-step solutions from verified subject matter experts
