Question: In Exercises 1-3, identify the initial amount a and the rate of growth (as a percent) of the exponential function. Evaluate the function when
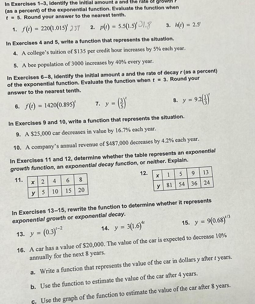
In Exercises 1-3, identify the initial amount a and the rate of growth (as a percent) of the exponential function. Evaluate the function when t = 5. Round your answer to the nearest tenth. 1. f(t) = 220(1.015)' 237 2. p(t) = 5.5(1.5) 1.8 3. h(t) = 2.5' In Exercises 4 and 5, write a function that represents the situation. 4. A college's tuition of $135 per credit hour increases by 5% each year. 5. A bee population of 3000 increases by 40% every year. In Exercises 6-8, identify the initial amount a and the rate of decay r (as a percent) of the exponential function. Evaluate the function when t = 3. Round your answer to the nearest tenth. 6. f(t) = 1420(0.895)' 7. y = 8. y = 9.2() In Exercises 9 and 10, write a function that represents the situation. 9. A $25,000 car decreases in value by 16.7% each year. 10. A company's annual revenue of $487,000 decreases by 4.2% each year. In Exercises 11 and 12, determine whether the table represents an exponential growth function, an exponential decay function, or neither. Explain. 11. 4 x 2 6 8 10 y 5 15 20 12. X 1 5 9 13 y 81 54 36 24 In Exercises 13-15, rewrite the function to determine whether it represents exponential growth or exponential decay. 13. y = (0.3)-2 14. y = 3(1.6)" 15. y = =9(0.68)" 16. A car has a value of $20,000. The value of the car is expected to decrease 10% annually for the next 8 years. a. Write a function that represents the value of the car in dollars y after t years. b. Use the function to estimate the value of the car after 4 years. c. Use the graph of the function to estimate the value of the car after 8 years.
Step by Step Solution
There are 3 Steps involved in it
Get step-by-step solutions from verified subject matter experts
