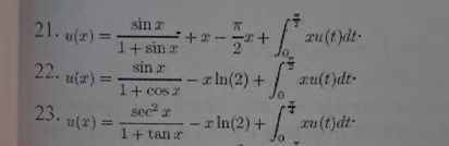
Question: In exercises 2 1 - 2 6 solve the given Fredholm integral equations by using the noise terms phenomenon : u ( x ) =
In exercises solve the given Fredholm integral equations by using the noise terms phenomenon :
Step by Step Solution
There are 3 Steps involved in it
1 Expert Approved Answer
Step: 1 Unlock
Question Has Been Solved by an Expert!
Get step-by-step solutions from verified subject matter experts
Step: 2 Unlock
Step: 3 Unlock
