Question: In Matlab Use symbolic math to solve Laplace problem 3.17 in the textbook. Use the heavyside(t) function for u(t), use the dirac(t) function for d(t).
In Matlab
Use symbolic math to solve Laplace problem 3.17 in the textbook. Use the heavyside(t) function for u(t), use the dirac(t) function for d(t).

a) Ans is 
b) Ans is 
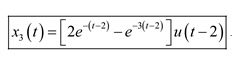
c) Ans is 
3.17 Obtain the inverse Laplace transform of each of t following functions: 4(s-4) s2 16 (b) X2(s) = s + +9 (c) X3 (s) = (s +5)e-2s 4 4s
Step by Step Solution
There are 3 Steps involved in it
1 Expert Approved Answer
Step: 1 Unlock
Question Has Been Solved by an Expert!
Get step-by-step solutions from verified subject matter experts
Step: 2 Unlock
Step: 3 Unlock
