Question: In problems a-c, Use the limit of a quotient difference definition of the derivative to determine the derivative f^j (x) of the function. (5 points)
In problems a-c, Use the limit of a quotient difference definition of the derivative to determine the derivative f^j (x) of the function.
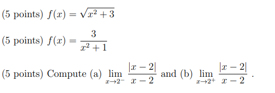
(5 points) f(x)=x2+3 (5 points) f(x)=x2+13 (5 points) Compute (a) limx2x2x2 and (b) limx2+x2x2
Step by Step Solution
There are 3 Steps involved in it
1 Expert Approved Answer
Step: 1 Unlock
Question Has Been Solved by an Expert!
Get step-by-step solutions from verified subject matter experts
Step: 2 Unlock
Step: 3 Unlock
