Question: In racing car design, it is important that nothing obstructs the speed of the car. Ferrari engineers think that ailerons on cars is a very
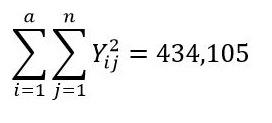
In racing car design, it is important that nothing obstructs the speed of the car. Ferrari engineers think that ailerons on cars is a very important noise element that can cause cars to underperform. To prove this, the engineers carry out an experiment with six Formula One races. All cars have the same characteristics. Using ailerons on cars is believed to reduce their top speed, although it gives better stability. The results of the experiment show the following data. It is also known that


A) Do the data support the theory of the Ferrari engineers? Test the theory with an alpha level of 5%.
B) Calculate the effect that cars without a spoiler have on the maximum speed of the car.
C) Perform the original Tukey test for this problem.
= 434,105 i=1 j=1 Total Velocidad mxima (millas/hr) Con Sin Carrera Aleron Aleron 1 186 198 2 185 196 3 179 193 4 184 198 5 183 195 6 186 198 Total 1103 1178 384 381 372 382 378 384 2281 = 434,105 i=1 j=1 Total Velocidad mxima (millas/hr) Con Sin Carrera Aleron Aleron 1 186 198 2 185 196 3 179 193 4 184 198 5 183 195 6 186 198 Total 1103 1178 384 381 372 382 378 384 2281Step by Step Solution
There are 3 Steps involved in it
Get step-by-step solutions from verified subject matter experts
