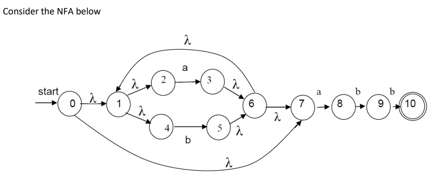
Question: In the construction process while converting to a DFA, do not forget to account for the lambda transitions. For example, the first step is to
In the construction process while converting to a DFA, do not forget to account for the lambda transitions. For example, the first step is to identify the initial state, say A A = {0} is not correct as the lambda transitions enable the starting to be 1. You can make a transition from 0 to 1 on lambda without scanning any symbol. Similarly, you can transition to 2,3,7.
So the starting state of the DFA = {0, 1, 2, 4, 7} The next step is to define transitions from A, say A to B on symbol a. Check that B ={1,2,3,4,6,7,8}
1. Give a complete equivalent description of the DFA
2. Convert the NFA to a minimal DFA.

Consider the NFA below 2 a 2 3 start a b b 0 1 6 7 8 9 +10 a 4. 5 a b a
Step by Step Solution
There are 3 Steps involved in it
Get step-by-step solutions from verified subject matter experts
