Question: In the given problem, it involves the design of a vertical Thermosyphon reboiler, taken from the book Coulson and Richardson s Chemical Engineering Series, Chemical
In the given problem, it involves the design of a vertical Thermosyphon reboiler, taken from the book Coulson and Richardsons Chemical Engineering Series, Chemical Engineering Design, Sixth Edition by Ray Sinnott and Gavin Towler. Example page
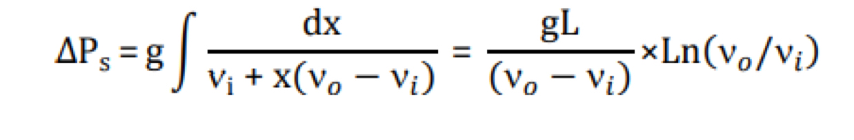
He calculated the static pressure by assuming that the fluid density in the tube is a linear function with the length of the tube. Explain why this assumption is necessary and prove the following equation in the example.
Step by Step Solution
There are 3 Steps involved in it
1 Expert Approved Answer
Step: 1 Unlock
Question Has Been Solved by an Expert!
Get step-by-step solutions from verified subject matter experts
Step: 2 Unlock
Step: 3 Unlock
