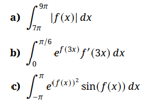
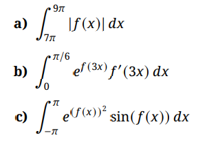
Question: In this assignment we look at a function f(x) which is stated to be continuous and differentiable. We also state that ? the function is

In this assignment we look at a function f(x) which is stated to be continuous and differentiable.
We also state that
? the function is odd, that is f(?x) = ?f(x),
? the function is periodic with period 2?, that is f(x + 2?) = f(x),
? ?(?) ? 0 for 0 ? ? ? ?,
? ?(?/2) = 1,
??0???(?) ?? = 2.
Then calculate:

Step by Step Solution
There are 3 Steps involved in it
Get step-by-step solutions from verified subject matter experts
