Question: Indicate using the above numbers where the following items should be reported on the income statement. Place an X in the blank if it should
- Indicate using the above numbers where the following items should be reported on the income statement. Place an X in the blank if it should not be reported on the income statement. In addition to the number, place an N in the blank for items to be reported net-of-tax.
- Using the above numbers, list the items in the order that they should appear on an income statement.
- Indicate using the above numbers where the following items should be reported on the income statement. Place an X in the blank if it should not be reported on the income statement. In addition to the number, place an N in the blank for items to be reported net-of-tax.
- Using the above numbers, list the items in the order that they should appear on an income statement.
- Indicate using the above numbers where the following items should be reported on the income statement. Place an X in the blank if it should not be reported on the income statement. In addition to the number, place an N in the blank for items to be reported net-of-tax.
- Using the above numbers, list the items in the order that they should appear on an income statement.
- Indicate using the above numbers where the following items should be reported on the income statement. Place an X in the blank if it should not be reported on the income statement. In addition to the number, place an N in the blank for items to be reported net-of-tax.
- Using the above numbers, list the items in the order that they should appear on an income statement.
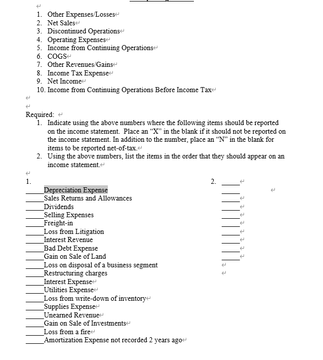
1. Other Expenses/Losses 2. Net Sales 3. Discontinued Operations 4. Operating Expenses 5. Income from Continuing Operations 6. COGS 7. Other Revenues/Gains 8. Income Tax Expense 9. Net Income 10. Income from Continuing Operations Before Income Tax Required: 1. Indicate using the above numbers where the following items should be reported on the income statement. Place an "X" in the blank if it should not be reported on the income statement. In addition to the number, place an "N" in the blank for items to be reported net-of-tax. 2. Using the above numbers, list the items in the order that they should appear on an income statement- 1. 2. Depreciation Expense Sales Returns and Allowances Dividends Selling Expenses _Freight-in _Loss from Litigation Interest Revenue _Bad Debt Expense Gain on Sale of Land _Loss on disposal of a business segment _Restructuring charges Interest Expense _Utilities Expense Loss from write-down of inventory Supplies Expense _Unearned Revenue Gain on Sale of Investments _Loss from a fire Amortization Expense not recorded 2 years ago
Step by Step Solution
There are 3 Steps involved in it
Get step-by-step solutions from verified subject matter experts
