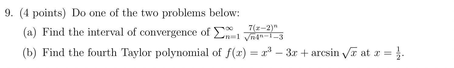
Question: Indicate which you pick. D o not use a n integral solver and complete all steps o f this Calc I I question.
Indicate which you pick. not use integral solver and complete all steps this Calc question.
Step by Step Solution
There are 3 Steps involved in it
1 Expert Approved Answer
Step: 1 Unlock
Question Has Been Solved by an Expert!
Get step-by-step solutions from verified subject matter experts
Step: 2 Unlock
Step: 3 Unlock
