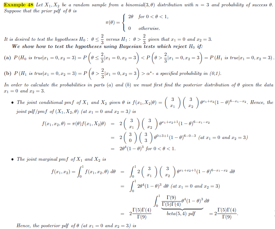
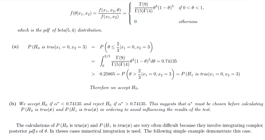
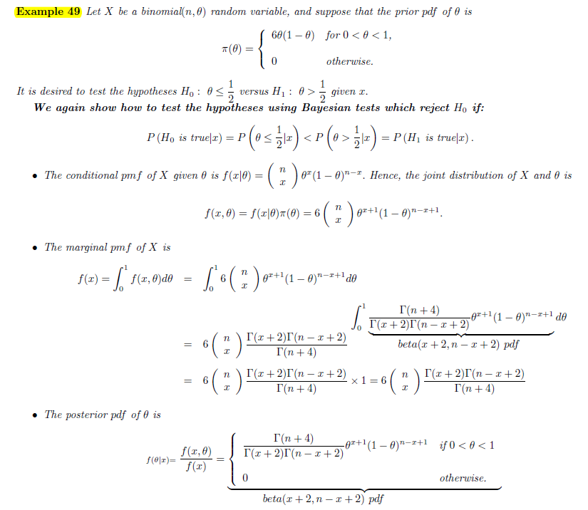
Question: Inference Statistics THE QUESION 3 IS COMPLETE Example 49 Let X be a binomial(n, () random variable, and suppose that the prior pdf of 0




Inference Statistics
THE QUESION 3 IS COMPLETE





Example 49 Let X be a binomial(n, () random variable, and suppose that the prior pdf of 0 is 60(1 -0) for 0 - given I. We again show how to test the hypotheses using Bayesian tests which reject Ho if: P(Ho is true(x) = P (85 -1x)
>1x) = P(H, is truex) . . The conditional pif of X given 0 is f(x|0) = (" )or(1 -0)"-2. Hence, the joint distribution of X and 0 is f (x, 0 ) = f(x0) T (0) =6(2 0+1(1-0)"-3+1. . The marginal pmf of X is f(z) = f(x, 0)do - 56(" )+(1 -0)-3+120 T(n + 4) -gr+(1 - 0)"-3+1 de T(x + 2)(n-x +2) = 6 n\\[(2+2)[(n -1+2) beta(r + 2, n - x + 2) pdf T(n + 4) = 6 (" ) T(z + 2)1(n - 1+2) 2x1 =6 (n T(x+ 2)1(n-x +2) T(n + 4) T(n + 4) . The posterior pdf of 0 is T(n + 4) f(x, 0) (:+1(1 _ 0)"-"+ if0 i using a Bayesian test which rejects H.) l 1 ifP(a
Step by Step Solution
There are 3 Steps involved in it
Get step-by-step solutions from verified subject matter experts
