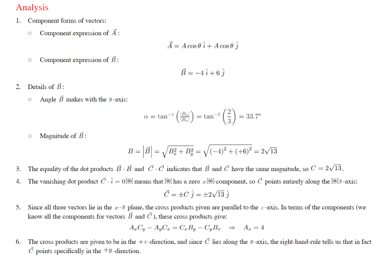
Question: Information B A X X C = ci+ Cy j The three vectors shown are dimensionless (their lengths are pure numbers with no units). We



Information B A X X C = ci+ Cy j The three vectors shown are dimensionless (their lengths are pure numbers with no units). We know all of the following products hold for these vectors: B . B = C. C C. 1=0 A x C = CXB The vectors formed by the cross-products points in the +klos direction, and the angle :08 is restricted to the range :0810
Step by Step Solution
There are 3 Steps involved in it
1 Expert Approved Answer
Step: 1 Unlock
Question Has Been Solved by an Expert!
Get step-by-step solutions from verified subject matter experts
Step: 2 Unlock
Step: 3 Unlock
