Question: INSTRUCTIONS: SHOW A COMPLETE AND DETAILED SOLUTION TO THE FF PROBLEMS INCOMPLETE OR NO DETAILED SOLUTION, NO CREDIT EX. Show operations involving algebra, like multiplication,

INSTRUCTIONS:
SHOW A COMPLETE AND DETAILED SOLUTION TO THE FF PROBLEMS
INCOMPLETE OR NO DETAILED SOLUTION, NO CREDIT
EX. Show operations involving algebra, like multiplication, division, fractional exponents, partial fractions.
Always define the value of u, and du.
For the definite integral show substitution of upper limit and lower limit.
Solve the problems as orderly and as neatly as possible.
Avoid any erasures.
Write your handwritten solutions on a clean sheet short coupon bond or paper.
I DEFINITE INTEGRAL:
IF AN INTEGRATION FORMULA IS USED FROM A TABLE OF INTEGRATION FORMULAS, SHOW DERIVATION FIRST.
ANSWERS MUST NOT BE IN DECIMAL FORM.

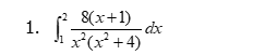
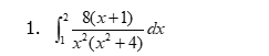
8x+1 1
Step by Step Solution
There are 3 Steps involved in it
Get step-by-step solutions from verified subject matter experts
