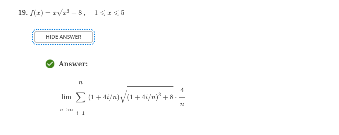
Question: Instructions: Use Definition 2 to find an expression for the area under the graph of f as a limit. Do not evaluate the limit. 16,


Instructions: Use Definition 2 to find an expression for the area under the graph of f as a limit. Do not evaluate the limit.


16, 1?, 18, and 19 Use Denition 2 to find an expression for the area under the graph of f as a limit. Do not evaluate the limit. HIDE ANSWER 0 Answer: R lim 2 [2 | sin2(7r)] - E nmo , z=1
Step by Step Solution
There are 3 Steps involved in it
Get step-by-step solutions from verified subject matter experts
