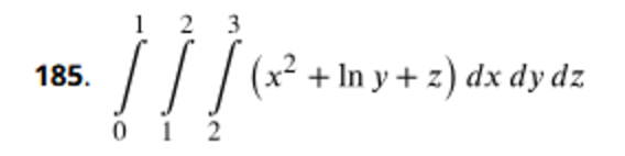
Question: int _ 0 ^ 1 int _ 1 ^ 2 int _ 2 ^ 3 ( x ^ ( 2 ) +
intintintxlnyzdxdydz
Step by Step Solution
There are 3 Steps involved in it
1 Expert Approved Answer
Step: 1 Unlock
Question Has Been Solved by an Expert!
Get step-by-step solutions from verified subject matter experts
Step: 2 Unlock
Step: 3 Unlock
