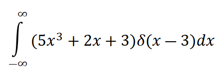
Question: int _ ( - infty ) ^ ( infty ) ( 5 x ^ ( 3 ) + 2 x + 3
intinfty infty xxdelta xdx
Step by Step Solution
There are 3 Steps involved in it
1 Expert Approved Answer
Step: 1 Unlock
Question Has Been Solved by an Expert!
Get step-by-step solutions from verified subject matter experts
Step: 2 Unlock
Step: 3 Unlock
