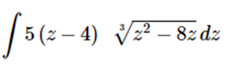
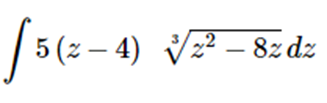
Question: Integrate the following. 1. 5e3t dt 2e3t + e3t




Integrate the following.
1.




5e3t dt 2e3t + e3t
Step by Step Solution
There are 3 Steps involved in it
Get step-by-step solutions from verified subject matter experts
