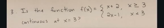
Question: Is the function f ( x ) = { x 2 , x 3 2 x - 1 , x 3 continuous at x =
Is the function continuous at
Step by Step Solution
There are 3 Steps involved in it
1 Expert Approved Answer
Step: 1 Unlock
Question Has Been Solved by an Expert!
Get step-by-step solutions from verified subject matter experts
Step: 2 Unlock
Step: 3 Unlock
