Question: it is requested the problems are completed via excel :) The following data relate to the operations of Picanuy Corporation, a wholesale distributor of consumer
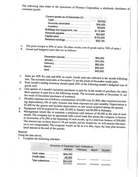
The following data relate to the operations of Picanuy Corporation, a wholesale distributor of consumer goods: a. The gross margin is 30% of sales. (In other words, cost of goods sold is 70% of sales.) b. Actual and budgeted sales data are as follows: c. Sales are 40% for cash and 60% on credit. Credit sales are collected in the month following sale. The accounts receivable at December 31 are the result of December credit sales, d. Each month's ending inventory should equal 20% of the following month's budgeted cost of goods sold. e. One-quarter of a month's imventory purchases is paid for in the month of purchase; the othor three-quarters is paid for in the following month. The accounts payable at December 31 are the result of December purchases of inventory. f. Monthly expenses are as follows: commissions, $12,000; rent, $1,800; other expenses (excluding depreciation), 8% of sales. Assume that these expenses aro paid monthly. Depreciation is $2,400 for the quarter and includes depreciation on new assets acquired during the quarter. g. Equipment will be acquired for cash: $3,000 in January and $8,000 in February. h. Management would like to maintain a minimum cash balance of $5,000 at the end of each month. The company has an agreement with a local bank that allows the company to borrow in increments of $1,000 at the beginning of each month, up to a total loan balance of $50,000. The interest rate on these loans is 1% per month, and for simplicity, we will assume that interest is not compounded, The company would, as far as it is able, repay the loan plus accumulated interest at the end of the quarter. Required: Using the data above: 1. Complete the following schedule: The following data relate to the operations of Picanuy Corporation, a wholesale distributor of consumer goods: a. The gross margin is 30% of sales. (In other words, cost of goods sold is 70% of sales.) b. Actual and budgeted sales data are as follows: c. Sales are 40% for cash and 60% on credit. Credit sales are collected in the month following sale. The accounts receivable at December 31 are the result of December credit sales, d. Each month's ending inventory should equal 20% of the following month's budgeted cost of goods sold. e. One-quarter of a month's imventory purchases is paid for in the month of purchase; the othor three-quarters is paid for in the following month. The accounts payable at December 31 are the result of December purchases of inventory. f. Monthly expenses are as follows: commissions, $12,000; rent, $1,800; other expenses (excluding depreciation), 8% of sales. Assume that these expenses aro paid monthly. Depreciation is $2,400 for the quarter and includes depreciation on new assets acquired during the quarter. g. Equipment will be acquired for cash: $3,000 in January and $8,000 in February. h. Management would like to maintain a minimum cash balance of $5,000 at the end of each month. The company has an agreement with a local bank that allows the company to borrow in increments of $1,000 at the beginning of each month, up to a total loan balance of $50,000. The interest rate on these loans is 1% per month, and for simplicity, we will assume that interest is not compounded, The company would, as far as it is able, repay the loan plus accumulated interest at the end of the quarter. Required: Using the data above: 1. Complete the following schedule
Step by Step Solution
There are 3 Steps involved in it
Get step-by-step solutions from verified subject matter experts
