Question: ITEMS ATTACHED: Appendix 1: Contract Concepts (JPEG picture 1 below) Website Development Agreement Version 1 (JPEG pictures below 2-11) QUESTIONS: 1) Read provision 3.2 (Termination












ITEMS ATTACHED:
Appendix 1: Contract Concepts (JPEG picture 1 below)
Website Development Agreement Version 1 (JPEG pictures below 2-11)
QUESTIONS: 1) Read provision 3.2 (Termination of Agreement (image4)) or 4.1 (Estimate and Cap (image4)) of the Website Development Agreement Version 1 agreement
2) Identify all contract concept(s)(from Appendix 1) that is being utilized in the provision (either 3.2 Termination of Agreement or 4.1 Estimate and Cap)
3) When discussing the contract concept and the provision, use the provided questions/analysis found on Appendix 1 for the appropriate contract concept(s) being utilized for the chosen provision.


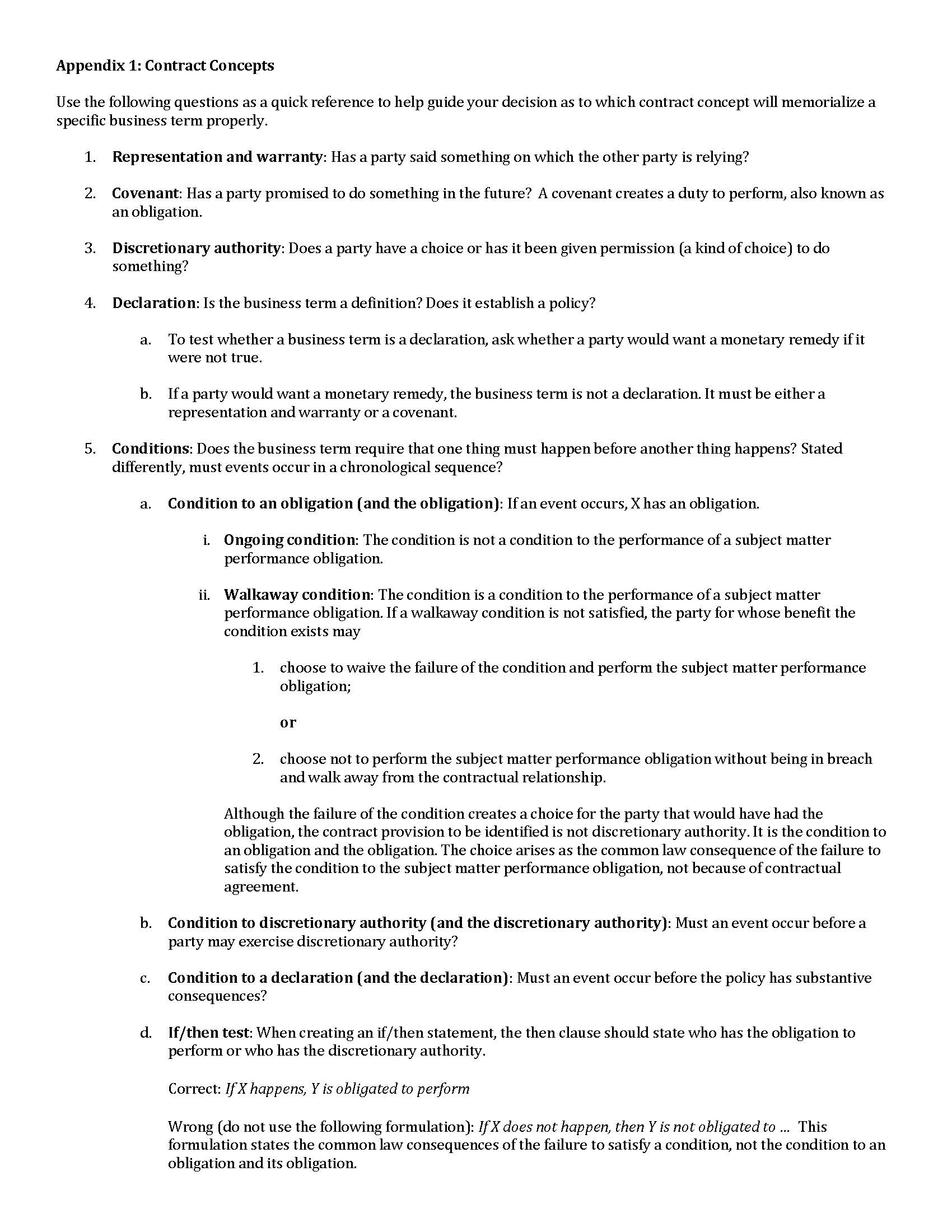
![or has it been given permission [a kind of choice] to do](https://s3.amazonaws.com/si.experts.images/answers/2024/06/6668834ae1baf_3866668834ac3ec2.jpg)







![in a chronological sequence? a. Condition to an obligation [and the obligation]:](https://s3.amazonaws.com/si.experts.images/answers/2024/06/6668834eb3d72_3906668834e86fa7.jpg)

Appendix 1: Contract Concepts Use the following questions as a quick reference to help guide your decision as to which contract concept will memorialize a specic business term properly. 1. 2. Representation and warranty: Has a party said something on which the other party is relying? Covenant: Has a party promised to do something in the future? A covenant creates a duty to perform, also known as an obligation. Discretionary authority: Does a party have a choice or has it been given permission [a kind of choice] to do something? Declaration: Is the business term a denition? Does it establish a policy? a. To test whether a business term is a declaration, ask whether a party would want a monetary remedy if it were not true. If a party would want a monetary remedy, the business term is not a declaration. It must be either a representation and warranty or a covenant. 5. Conditions: Does the business term require that one thing must happen before another thing happens? Stated differently, must events occur in a chronological sequence? a. Condition to an obligation [and the obligation]: If an event occurs, X has an obligation. i. Ongoing condition: The condition is not a condition to the performance of a subject matter performance obligation. ii. Walkaway condition: The condition is a condition to the performance of a subject matter performance obligation. If a walkaway condition is not satisfied, the party for whose benet the condition exists may 1. choose to waive the failure of the condition and perform the subject matter performance obligation; 01' 2. choose not to perform the subject matter performance obligation without being in breach and walk away from the contractual relationship. Although the failure of the condition creates a choice for the party that would have had the obligation, the contract provision to be identified is not discretionary authority. It is the condition to an obligation and the obligation. The choice arises as the common law consequence of the failure to satisfy the condition to the subject matter performance obligation, not because of contractual agreement. Condition to discretionary authority (and the discretionary authority): Must an event occur before a party may exercise discretionary authority? Condition to a declaration [and the declaration]: Must an event occur before the policy has substantive consequences? lf/then test: When creating an if/ then statement, the then clause should state who has the obligation to perform or who has the discretionary authority. Correct: IfX happens, Yis obligated to perform Wrong [do not use the following formulation]: IfX does not happen, then Y is not obligated to This formulation states the common law consequences of the failure to satisfy a condition, not the condition to an obligation and its obligation. Document 2 Website Development Agreement (Version 1) This Website Development Agreement is dated January 8, ZOXX and is between GoKa rts Corp., a California corporation (the "Client\"), and Website Designs, Inc., a Michigan corporation (the "Developer\"). This Agreement provides for the Developer's development of a website for the Client. The parties agree as follows: 1. Definitions and Defined Term. 1.1 Defined Terms. Terms defined in the preamble have their assigned meanings and each of the following terms has the meaning assigned to it. "Agreement\" means this Website Development Agreement, including Exhibit A, as each may be amended from time to time. "Business Day\" means any day other than a day that a bank in San Jose, California is required or permitted to be closed. "Change Order\" means an agreement that changes or supplements the Services. "Content\" means all text, images, sound, graphics, and other materials describing the Client's business and industry. "Developer Programming\" has the meaning assigned to it in Section 8.1. "Down Payment\" has the meaning assigned to it in Section 4.2.1. "Effective Date\" means the date the second party to execute and deliver this Agreement delivers the executed Agreement to the other party, the date of delivery to be the date of the other pa rty's receipt of the executed Agreement. "Services" means the services listed in the Scope of Services section in Exhibit A. "Team\" means the employees the Developer assigns to perform the Services. "Website\" means a collection of interconnected web pages on the Internet, pertaining to the Client. "Works\" means the Website and all other deliverables, including all derivative deliverables, resulting from the performance of the Services. 1.2 Interpretive Provisions. 1.2.1 References to Sections, etc. References to Sections, subsections, and Exhibit A are references to Sections, subsections, and Exhibit A of this Agreement. 1.2.2 References to a Person. References to a person include that person's permitted successors and assigns and, in the case ofany governmental person, the person succeeding to the governmental functions of that person. 1.2.3 Including and Its Variations. The words including, includes, and include are deemed to be followed by the words without limitation. 2. Development of Website. 2.1 Hiring of the Developer. By executing and delivering this Agreement, the Client hires the Developer to design and develop the Website for the Client. 2.2 Design and Development of the Website. Subject to the provisions of this Agreement, the Developer shall design and develop the Website by performing the Services. 3. Effective Date. 3.1 Effective Date. This Agreement is effective on the Effective Date. 3.2 Termination of Agreement. This Agreement terminates on the third Business Day after the Effective Date at 5:00 pm, San Jose, CA time, ifthe Developer has not received the Down Payment required by Section 4.2 by that time. In that event, neither party has any rights or obligations against the other. 4. Fees. 4.1 Estimate and Cap. The Developer estimates that its fee for performing the Services will be between $12,000 and $15,000. Despite the preceding sentence, the maximum that the Client is obligated to pay the Developer for the Services, as described in Exhibit A, is $17,000. If the parties agree to a Change Order, the new cap is the amount the parties agree to at that time. If the parties do not agree to a new cap, but only an estimated range, then the new cap is the higher number ofany estimated range plus 10% of that number. 4.2 Down Payment. 4.2.1 Amount of the Down Payment. The down payment is $6,000 (the \"Down Payment"). 4.2.2 Obligation to Pay the Down Payment. The Client shall wire transfer the Down Payment in immediately available funds (San Jose, CA) to the Developer's bank account no later than three Business Days after the Effective Date. The Client shall use the following wire instructions: Big City Bank, 738 Fulton Ave., San Jose, California Website Designs, Inc. #485930284 ABA 0390000000 Swift Code BCBUSSS 4.3 Additional Payments. 4.3.1 Billing Rates. The billing rates for Team members range from $75 to $225 an hour. The Developer may increase these rates only after having given the Client at least 30 days prior notice. 4.3.2 Amount to Be Paid. The Client shall pay the Developer for each quarter hour that a Team member works, except if the cap has been reached. In that event, the Client's obligation to pay any amount in excess of the cap is discharged. In determining the amount that the Client is obligated to pay, the Developer shall give the Client a credit equal to the amount of the Down Payment. 4.3.3 Form of Invoice. With respect to each month that the Developer provides Services, the Developer shall send an invoice to the Client indicating (a) the number of hours each Team member worked; (b) the billing rate for each Team member; (c) the aggregate invoiced fee for each Team member; (d) the aggregate invoiced fee for the Team; and (e) the amount by which the invoice has been reduced to reflect any outstanding credit arising from the Down Payment. If the cap has been reached, the Developer shall continue to send invoices to the Client, but the Developer shall indicate on the invoice that the Client is not obligated to pay the invoiced amount. 4.3.4 Form and Timing of Payment. The Client shall pay each month's invoice by company check or by wire transfer. In either case, the Client shall cause payment to be received no later than ten Business Days after the Client's receipt of that month's invoice. 5. Provision of Services. 5.1 Quality of Services. The Developer shall perform the Services using sound professional practices and in a competent and professional manner by knowledgeable and qualified employees. 5.2 Content. The Client shall not deliver any Content to the Developer that 5.2.1 it does not own or have a right to use; or 5.2.2 is defamatory, libelous, or otherwise actionable. 5.3 The Developer's Employees. No later than five Business Days after the Effective Date, the Developer shall assign the following employees to be the Team members providing the Services to the Client: Omar Adams, Kyla Rubin, and Marla Wojinsky. The Developer may replace one or more of these employees with other employees, but only after it receives the Client's prior consent. The Client shall not unreasonably withhold its consent. 5.4 Schedule. The Developer shall use commercially reasonable efforts to provide the Services as efficiently as possible with the goal of completing the Services no later than April 30, 20XX. 5.5 Liens. The Developer shall perform the Services so that each Work is free of liens or other encumbrances at the time that it is delivered. 5.6 Change Orders. If from time to time the Client wants to change or supplement any Service, the parties must execute and deliver a Change Order. A Change Order is effective when the first party to execute and deliver the Change Order receives the fully executed Change Order from the other party. This Agreement's provisions govern if this Agreement and a Change Order conflict. 5.7 Compliance with Laws. In performing the Services, the Developer shall comply with all federal, state, local, or foreign laws, rules, and regulations, as each is in effect from time to time. 6. Client Representative. No later than five Business Days after the Effective Date, the Client shall assign a representative to work with the Team and notify the Developer who that representative is. The Client shall give the representative the authority to sign Change Orders and to make all other decisions concerning the Website and the Services. At any time, the Client may remove the then-cu rrent representative and assign another representative to work with the Team. 7. Content. 7.1 Initial Content. No later than ten Business Days after the Effective Date, the Client shall deliver to the Developer the following: 7.1.1 The Website's URL. 7.1.2 The Content that it wants incorporated into the Website. 7.2 Additional Content. If the Client wants to change the Content after the Developer has incorporated it into the Website, the Developer is entitled to an additional fee, which the Client shall pay, all of which must be documented by a Change Order that both parties sign. 8. Ownership. 8.1 Definition. "Developer Programming\" means any programming or software that the Developer creates, or has created, outside of this Agreement but uses in the Works. 8.2 Work for Hire. 8.2.1 Rights to the Works. The Works are works made for hire and all rights to them vest in the Client. The Developer has no right to them or any interest in them and shall not use them to benefit anyone other than the Client. 8.2.2 Assignment of Rights in the Works. By signing this Agreement, the Developer assigns to the Client (a) all rights in each Work that do not vest in the Client by operation of law; and (b) all copyright interests in each Work for the entire period of that Work's copyright protection. 8.3 Developer Programs. The Developer retains all rights to all Developer Programming, but grants to the Client a perpetual, nonexclusive license to use all Developer Programming in connection with the Works. 9. Warranties. The Developer warrants that the Works will 9.1 be usable by the Client for the purposes for which they were intended; 9.2 operate in conformity with the specifications listed in Exhibit A; and 9.3 be free ofviruses, Trojan horses, and other software that could damage the Website or the computer of any user of the Website. 10. Representations and Warranties. 10.1 Developer. The Developer represents and warrants to the Client as follows: 10.1.1 Organization. The Developer is a corporation duly organized, validly existing, and in good standing under the laws of its jurisdiction of incorporation. 10.1.2 Corporate Power and Authority. The Developer has all requisite corporate power and authority (a) to own, operate, and lease its properties, and to carry on its business as now being conducted; and (b) to execute, deliver, and perform this Agreement. 10.1.3 Authorization. The Developer has taken all necessary corporate action to authorize the execution, delivery, and performance of this Agreement. 10.1.4 Enforceability. The Developer has duly executed and delivered this Agreement, and it constitutes the Developer's legal, valid, and binding obligation. This Agreement is enforceable against the Developer in accordance with its terms, except to the extent that enforcement is limited by either one or both of the following: (a) Applicable bankruptcy, insolvency, reorganization, moratorium, or other similar laws affecting creditors' rights generally. (b) General equitable principles, regardless of whether the issue of enforceability is considered in a proceeding in equity or at law. 10.1.5 Team Members. The Team members listed in Section 5.3 are knowledgeable and qualified to perform the Services. 10.2 Client. The Client represents and warrants to the Developer as follows: 10.2.1 Organization. The Client is a corporation duly organized, validly existing, and in good standing under the laws of its jurisdiction of incorporation. 10.2.2 Corporate Power and Authority. The Client has all requisite corporate power and authority (a) to own, operate, and lease its properties, and to carry on its business as now being conducted; and (b) to execute, deliver, and perform this Agreement. 10.2.3 Authorization. The Client has taken all necessary corporate action to authorize the execution, delivery, and performance of this Agreement. 10.2.4 Enforceability. The Client has duly executed and delivered this Agreement, and it constitutes the Client's legal, valid, and binding obligation. This Agreement is enforceable against the Client, except to the extent that enforcement is limited by either one or both of the following: (a) Applicable bankruptcy, insolvency, reorganization, moratorium, or other similar laws affecting creditors' rights generally. (b) General equitable principles, regardless of whether the issue of enforceability is considered in a proceeding in equity or at law. 11. Development Credit. The Client shall acknowledge the Developer as the Website developer on the Website page entitled "About the Site.\" The Client may remove the acknowledgment if it materially changes the Website after this Agreement terminates. 12. Termination. 12.1 Termination. Except as provided in Section 3.2 and Section 12.2, this Agreement terminates when the Developer has completely performed the Services and the Client has paid all fees in accordance with Section 4. 12.2 Termination for Cause. A nonbreaching party may earlier terminate this Agreement by notifying the alleged breaching party of the former's intent to terminate if the allegedly breaching party did one or more of the following: 12.2.1 Materially misrepresented a fact. 12.2.2 Materially breached either a warranty or covenant. 13. This Agreement terminates on the tenth Business Day after a party receives a notice of intent to terminate. On termination, the terminating party has all rights and remedies that law and equity provide. Despite the previous sentences in this Section 12.2, if the Client does not pay the Down Payment in accordance with Section 4.2.2, then Section 3.2 governs termination, not this Section 12.2. 13. General Provisions. 13.1 Governing Law. The internal laws of California govern all matters arising under or relating to this Agreement, including torts. 13.2 Assignment and Delegation. The Developer shall not assign its rights or delegate its performance under this Agreement without the Client's prior consent. The Client may assign its rights and delegate its performance. For the purposes of this Section, an assignment includes a change of control. 13.3 Successors and Assigns. This Agreement binds and benefits the parties and their respective permitted successors and assigns. 13.4 Notices. The parties shall send all notices in writing and give all consents in writing. A notice or consent is effective when the intended recipient receives it. 13.5 Merger. This Agreement is the final and exclusive statement of the parties' agreement on the matters contained in this Agreement. It supersedes all previous negotiations and agreements. 13.6 Amendments. The parties may amend this Agreement only by an agreement in writing that both parties execute. 13.7 Counterparts. The parties may execute this Agreement in counterparts, each of which constitutes an original, and all which, collectively, constitute only one agreement. The delivery of an executed counterpart signature page by facsimile or PDF is as effective as delivering this Agreement in the presence of the other party to this Agreement. This Agreement is effective as stated in Section 3. To evidence the pa rties' agreement to this Agreement, each party has executed this Agreement on the date stated beneath that party's name. Exhibit A Scope of Services Creative consulting. Creation of site map. Three mockups of home page. Two revisions of chosen home page. Three mock-ups of secondary page. Two revisions of chosen secondary page. Programming for 30 static pages. Launch and testing of Website. Specifications Website to work with multiple browsers. Website to work with multiple operating systems, including those created by Microsoft or Apple. Client to be able to make changes to the Website using a commercially available software application
Step by Step Solution
There are 3 Steps involved in it
Get step-by-step solutions from verified subject matter experts
