Question: its an answer but i cant read it please type it . thanks Solution : - Given that C and D are two linear codes
its an answer but i cant read it please type it . thanks




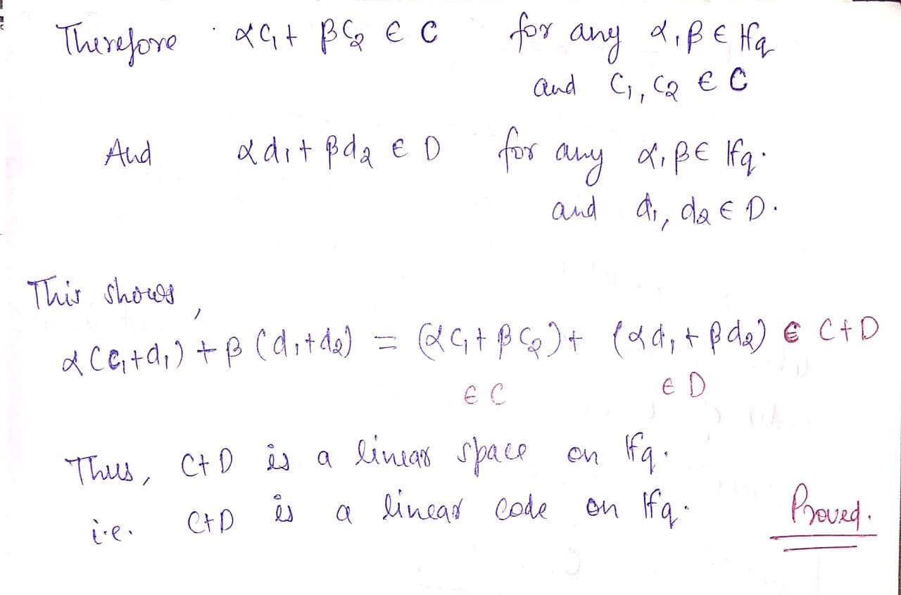
Solution : - Given that C and D are two linear codes on the finite field If q with a elements . C+D is defined as , C+D = $ atd cec , de D ? We wish to show that CID is also a linear code. In order to show C+D is a linear code it is sufficient to show that CAD is a lineas space . over the field Ifq. Tet , BEIfg. and .( C,+d,), (catda) ectD where C, GREC & didQED . cowrides , & cc ,tdi ) + B. Cept do) = x q + ad, + PQ+ Bdo = ( Q S + BG ) + ( ad,+ Bda) Now since C and D are linear cody on Ifg . 3 C and D are linear spaces on Iq.\fNow since CtD is a linear code on Ifg . therefore it is a linear subspace of the vector space Ifan over Hq. (for some nED ) . Recall that , orthogonal complement of a linear codes is denoted by s and defined as the set of all vectors which are orthogonal to every vector ins. Here orthogonal means the standard dot product is 0 . This is also called dual code of s. Remark that if S is a linear code of length in and rank & then It is a linear code of length in and rank (h-k) .( C + D ) - = fee If h l e . ( cta ) = 0 # cec, dED? = feel ected = 0 + cec, deD? = feelf" ] ec= of cec & ed =o +deng = feel eEct & eEnd ? ( where ct and DE are orthogonal complement linear codes of c and D respectively . ) -) CCD) = Seel eect not 3 Hence proved
Step by Step Solution
There are 3 Steps involved in it
Get step-by-step solutions from verified subject matter experts
