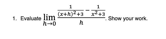
Question: It's finals week! So in my Calculus 1 class, we have been doing lots of review packets. Below are a few questions that I could
It's finals week! So in my Calculus 1 class, we have been doing lots of review packets. Below are a few questions that I could use more information to understand! Anything helps!!!


1 1 x2+3 1. Evaluate lim (xth)2+3 Show your work. h-0 h2. Where is the function shown below not differentiable? 3 2 1 -6 -4 -B -2 -1 2 3 4 5 -1 -2 -3
Step by Step Solution
There are 3 Steps involved in it
Get step-by-step solutions from verified subject matter experts
