Question: Jim's Camera shop sells two high-end cameras, the Sky Eagle and Horizon. The demand for these two cameras are as follows ( D S =
Jim's Camera shop sells two high-end cameras, the Sky Eagle and Horizon. The demand for these two cameras are as follows (DS = demand for the Sky Eagle, Ps is the selling price of the Sky Eagle, DH is the demand for the Horizon and PH is the selling price of the Horizon):
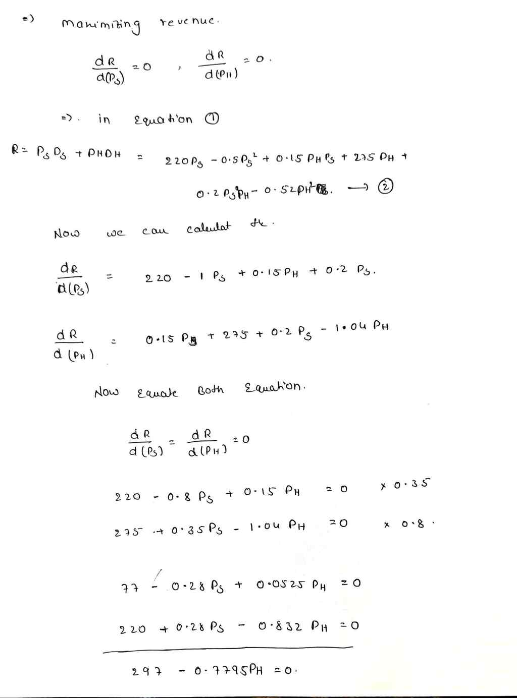
Ds = 220 - 0.5 Ps + 0.15 PH
DH = 275 + 0.2 Ps - 0.52 PH
The store wishes to determine the selling price that maximizes revenue for these two products. Select the revenue function for these two models. Choose the correct answer below.
| (i) | PsDs + PHDH = PH(275 - 0.2 Ps - 0.52 PH) + Ps(220 - 0.5 Ps + 0.15 PH) |
| (ii) | PsDs - PHDH = Ps(220 - 0.5 Ps + 0.15 PH) - PH(275 - 0.2 Ps - 0.52 PH) |
| (iii) | PsDs + PHDH = Ps(220 - 0.5 Ps + 0.15 PH) + PH(275 + 0.2 Ps - 0.52 PH) |
| (iv) | PsDs - PHDH = Ps(220 + 0.5 Ps + 0.15 PH) - PH(275 - 0.2 Ps - 0.52 PH) |
- Select your answer -Option (i)Option (ii)Option (iii)Option (iv)Item 1
Find the prices that maximize revenue.
Do not round intermediate calculations. If required, round your answers to three decimal places.
Optimal Solution:
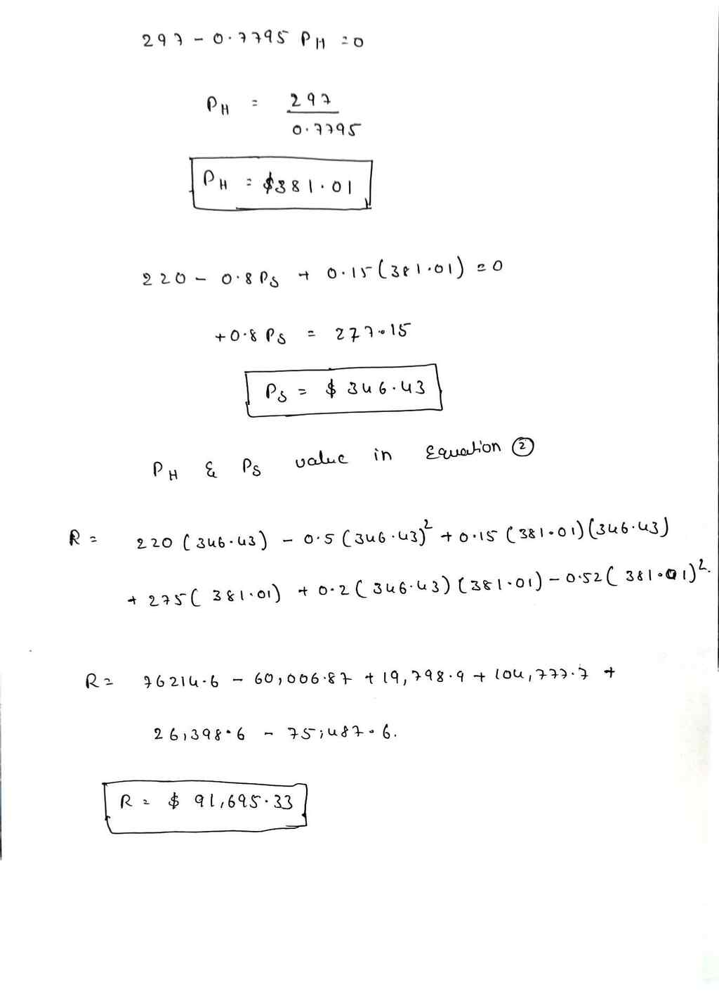
A) Selling price of the Sky Eagle (Ps): $________
B) Selling price of the Horizon (PH): $________
C) Total Revenue: $___________



Given that Jim's camera. shop sells two high- End. DS = demand. the sky Eagle. PS as the selling price of the sky Eagle 014 is the demand for the Horizon and PH is de sellings price 8 to Horizon, DS = 2 20 - 0.5 PS 10. 15 PH DH = 275 + 0.2PS - 0.52 PH - ) we know that Revenue = DS. PS + DH-PH PS DS + PHD H = PS ( 2 2 0 - 0 . 5 P s + 0.15 PH ) + PH (275- +0.2Ps - 0.52PH) - so Equation with Respect 9 Ps and PH option ( ni ]\f297 -0 . 9795 PH = 0 PH = 297 0 . 7795 PH : $381 . 01 2 20 - 0.8Ps + 0 . 15 ( 3 2 1 . 01 ) 20 + 0.8 Ps = 277-15 PS = $ 346. 43 PH & PS value in Equation (2 ) R = 2 20 ( 346 - 43 ) - 0.5 ( 346 . 43 ) + 0.15 ( 381- 01) (346.43) + 275- ( 3 8 1 . 01 ) + 0 - 2 ( 3 4 6 . 4 3 ) ( 38 1 . 01 ) - 0:52 ( 38 1 . 01 ) 2. R 2 7 6 2 1 4 . 6 - 60, 0 06 . 87 + 19, 798 . 9 + 104, 727.7 + 261 398 -6 - 75; 487- 6. R = $ 91,695. 33
Step by Step Solution
There are 3 Steps involved in it
Get step-by-step solutions from verified subject matter experts
