Question: Just answer no need for solution i need it within 30 minutes please thank you :> Dependent Variable Independent Variable Type pot / ODE Order
Just answer no need for solution i need it within 30 minutes please thank you :>


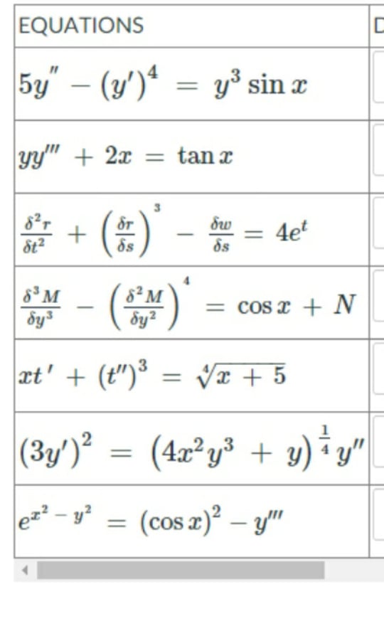
Dependent Variable Independent Variable Type pot / ODE Order Degree Lincanty 54"- (4' ) " = y'sinx yY 1 2x = tanx $9 1 + = 4et 8'M =COIKAN x1 + ( + " )= V x+5 ( 34 " ) 2 = (4x 2 43 +7)ay " x - 7 = ( cosx ) ? =y"
Step by Step Solution
There are 3 Steps involved in it
Get step-by-step solutions from verified subject matter experts
