Question: Just stumped by how to solve this problem given the exponents because I know that (25-x^2) = (5-x)(5+x) but I don't think I can do

Just stumped by how to solve this problem given the exponents because I know that (25-x^2) = (5-x)(5+x) but I don't think I can do partial fraction decomposition given the exponents and not sure if I can do u-sub either

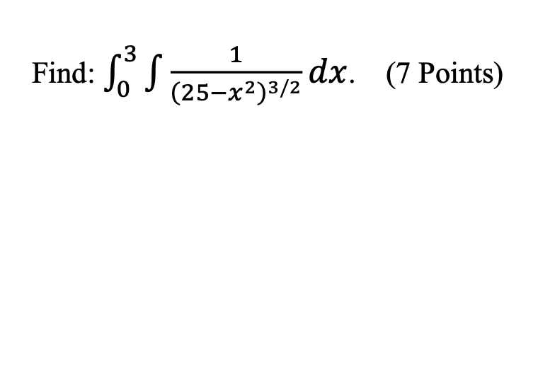
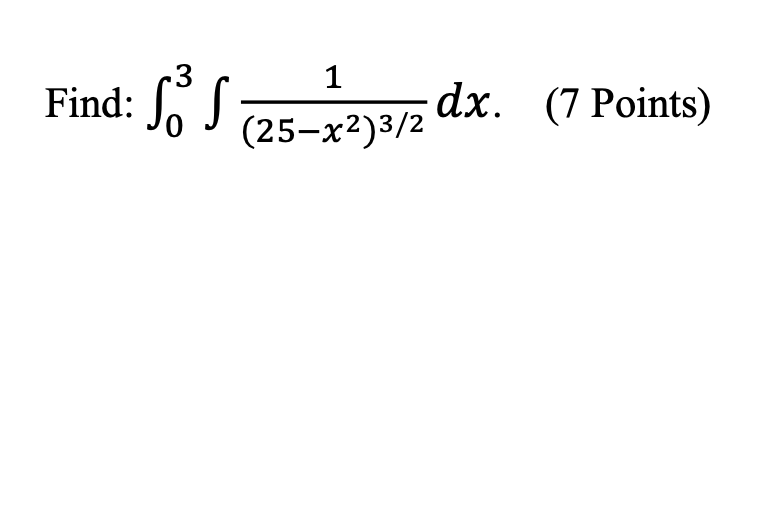
Find: 0 dx. (7 Points) (25-x2) 3/2
Step by Step Solution
There are 3 Steps involved in it
Get step-by-step solutions from verified subject matter experts
