Question: Kindly solve. Include clear explanations An actuary is modelling a set of data which consists of 100 consecutive observations, VIV2 ...70. The data has the
Kindly solve. Include clear explanations


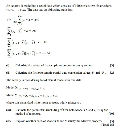
An actuary is modelling a set of data which consists of 100 consecutive observations, VIV2 ...70. The data has the following statistics: 100 100 2 1, =4 =105 i =1 100 2 (v - y) = B=290 1=1 101 2 ( yi-I y)(x - y)= C=60 100 Z (yi-2- y)(y - y) -D- - 240 i =3 (i) Calculate the values of the sample auto-correlations n and r2. [3] (ii) Calculate the first two sample partial auto-correlation values p, and d2. [21 The actuary is considering two different models for this data: Model Xi y, = up tate, Model Y: y, = M + biyi_ + byyr_>+ E, where &, is a standard white-noise process, with variance o'. (iii) Estimate the parameters (including of] for both Models X and Y. using the mcthod of moments. [10] (iv) Explain whether each of Models X and Y satisfy the Markov property. [3] [Total 18]In a two-player zero sum game, the matrix below shows the value to Player 1. Player I's strategies are labelled I to VI. where Player 2's strategies are labelled A to F. A B C D E F 13 29 12 16 23 IT 18 22 21 22 29 31 III 18 22 31 31 27 37 IV 11 22 12 21 21 26 V 18 16 19 14 19 28 VI 23 22 23 30 34 (i) Show, by eliminating dominated strategies, that the game can be reduced to the following 3 x 3 matrix. 13] b C 13 79 B 18 22 31 23 22 19 (ii) Explain whether or not this new 3 x 3 matrix has any saddle points. [2] Now consider a randomised strategy for Player 2, denoted X, whereby strategy "a' is chosen with probability p and strategy "c' is chosen with probability 1 -p, 0
Step by Step Solution
There are 3 Steps involved in it
Get step-by-step solutions from verified subject matter experts
