Question: l. Given the following functions on the interval [1, 1], for which can we conclude using the Mean Value Theorem that f' (at) = W
![l. Given the following functions on the interval [1, 1], for](https://s3.amazonaws.com/si.experts.images/answers/2024/06/667b9d8678d98_286667b9d86614ac.jpg)



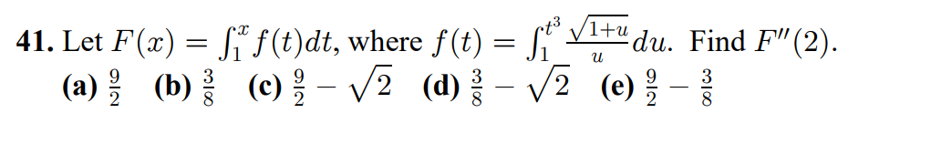
l. Given the following functions on the interval [1, 1], for which can we conclude using the Mean Value Theorem that f' (at) = W for some 6 on the interval (1, 1)? (a)f(w)=ss\"3 (b)f(:c)=tan:c (c)f(:c)=1/:c (d)f(x)='\"f+'f (e).f(sc)=\\w\\ 41. Let F(x) = fif(t)dt, where f (t) = 1+u du. Find F" (2). (a) ? (b) (c) ; -V2 (d) 3 - V2 (e) 00 1 09
Step by Step Solution
There are 3 Steps involved in it
1 Expert Approved Answer
Step: 1 Unlock
Question Has Been Solved by an Expert!
Get step-by-step solutions from verified subject matter experts
Step: 2 Unlock
Step: 3 Unlock
