Question: Lab 6 Functions: Taylor Series (C++) Objectives : Make use of various pass by value functions to solve a single problem Apply programming to math
Lab 6 Functions: Taylor Series (C++)
Objectives:
- Make use of various pass by value functions to solve a single problem
- Apply programming to math (calculus) concepts
Instructions:
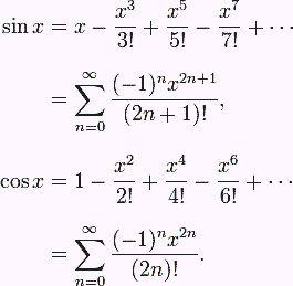
The cosine of an angle can be computed from the following infinite series:
Cos x = 1 (x^2/2!) + (x^4/4!) (x^6/6!) + + (x^n!)

Your task is to make a program that will calculate Cos x in the manner described above. To do this, you will need to make use of a number of functions and a menu system.
Factorial:
This should take in a double n. This should return the factorial of n as a double. (You cannot return anything but a double do to the fact that no other data type can hold numbers large enough to support a factorial greater than 20)
The formula for factorial is:
n! = n*(n-1)*(n-2) * * 1
Ex: 5! = 5 * 4 * 3 * 2 * 1
Power:
Yes, there is already a power function defined in
These variable names are not required, just used as examples to help illustrate the requirements.
Function 1:
Write a function that takes in an angle x. Inside the function, compute the cosine of the angle using the first five terms of this series defined above. Print or return the value computed.
Hint: For loops will allow for a set number of calculations
Function 2:
Start by reusing the code from function 1. However, instead of calculating just the first five terms, this time you will continue to calculate terms while a given term remains greater than 0.0001. Make sure you print out the final result, and the number of terms used to calculate this result.
Hint: Use a while loop for this one.
Menu
You should set up a menu that will allow the user to pick either of the two functions above (methods for calculating the cos of x)
In addition to having options for both of the above described ways of calculating cosine of x, you should include another case/option that will display the cosine of x according to the C++ default Librarys function. The code to use the default library function is simply:
cos(x);
Run:
When running the program, please run them with the following values in the following order:
Option 1, x = 0. Option 2, x = 0. Option 3, x = 0.
Option 1, x = 1. Option 2, x = 1. Option 3, x = 1.
Option 1, x = 2. Option 2, x = 2. Option 3, x = 2.
Option 1, x = 3. Option 2, x = 3. Option 3, x = 3.
Option 1, x = 4. Option 2, x = 4. Option 3, x = 4.
Option 1, x = 5. Option 2, x = 5. Option 3, x = 5.
Option 1, x = 6. Option 2, x = 6. Option 3, x = 6.
Step by Step Solution
There are 3 Steps involved in it
Get step-by-step solutions from verified subject matter experts
