Question: Lab Reflection Questions Answer the reflection questions, using what you have learned from the lesson and your experimental data. It will be helpful to review

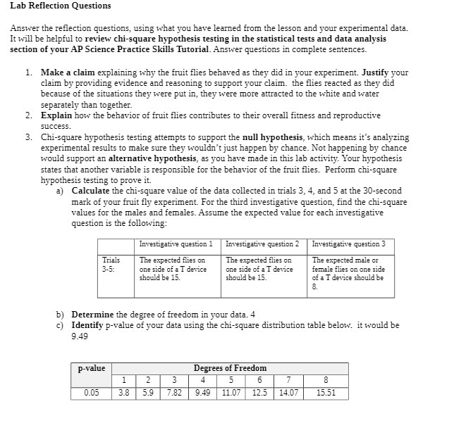
Lab Reflection Questions Answer the reflection questions, using what you have learned from the lesson and your experimental data. It will be helpful to review chi-square hypothesis testing in the statistical tests and data analysis section of your AP Science Practice Skills Tutorial. Answer questions in complete sentences. 1. Make a claim explaining why the fruit flies behaved as they did in your experiment. Justify your claim by providing evidence and reasoning to support your claim. the flies reacted as they did because of the situations they were put in, they were more attracted to the white and water separately than together. 2. Explain how the behavior of fruit flies contributes to their overall fitness and reproductive success 3. Chi-square hypothesis testing attempts to support the null hypothesis, which means it's analyzing experimental results to make sure they wouldn't just happen by chance. Not happening by chance would support an alternative hypothesis, as you have made in this lab activity. Your hypothesis states that another variable is responsible for the behavior of the fruit flies. Perform chi-square hypothesis testing to prove it a) Calculate the chi-square value of the data collected in trials 3, 4, and 5 at the 30-second mark of your fruit fly experiment. For the third investigative question, find the chi-square values for the males and females. Assume the expected value for each investigative question is the following: Investigative question 1 Investigative question 2 Investigative question 3 Trials The expected flies on The expected flies on The expected male or 3-5 one side of a T device one side of a T device female flies on one side should be 15. should be 15. of a T device should be 8. b) Determine the degree of freedom in your data. 4 c) Identify p-value of your data using the chi-square distribution table below. it would be 9.49 p-value Degrees of Freedom 1 2 3 4 5 6 7 0105 3.8 5.9 7.82 9.49 11.07 12.5 |14.07 15.51
Step by Step Solution
There are 3 Steps involved in it
Get step-by-step solutions from verified subject matter experts
