Question: Language: Java Qs1 - Construct a BST using the following data from left to right i.e. S will be inserted first, and T will be
Language: Java
Qs1 - Construct a BST using the following data from left to right i.e. S will be inserted first, and T will be the last value to insert in BST. Only final tree is required
S, L, V, A, P, B, O, I, R, T
__________________________________________________________________________________________________________________
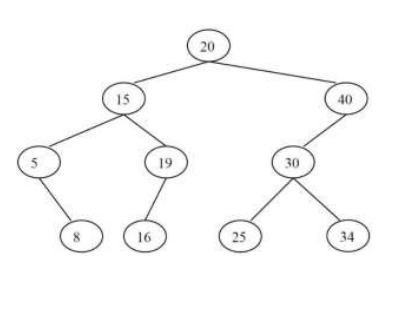
Qs2- For a given BST, write down an algorithm/code segment or complete method to return the sum of even values if the total number of the node containing odd values are greater than the number of nodes containing even values. Otherwise, your method should return the sum of odd values in the BST.
Example:
Odd nodes: 4
Even nodes: 6
Sum of odd value: 64
Sum of even values: 148
Return Value: 64

20
Step by Step Solution
There are 3 Steps involved in it
Get step-by-step solutions from verified subject matter experts
