Question: -laying out their present distribution & sales network -computing PGD dealers sales revenues and market comparisons -utility metrics of PGDs sales reps and their call
-laying out their present distribution & sales network
-computing PGD dealers sales revenues and market comparisons
-utility metrics of PGDs sales reps and their call times
-perusing the suggested growth strategies
-analyzing the viabilities of those strategies




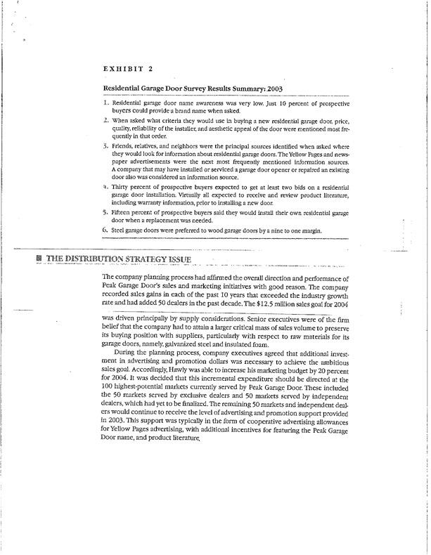
In Novexber 2003, the company planning process for Peak, Gamge Door, lnc. had just concluxled, and Jichard Hawh; Director of Sales and Marketing, was reviewing the cor porate sales goal for 2004 . The plan established a sales goal of $12.5 mallion for 2004 , which represented a 36 percent increase in sales over projected 2003 yearend sales. During the planning process, a number of fellow executives had voiced concern over whether the distribution approach used by Peak Gamge Door was appropeiate for the expanded sales goal. Hiwly kele that their concerns had merit and should be given careful consideration. Though he had considemble latitude in devising the distribution strategy, the final choice would have to be consistent with achieving the 2004 sales goal. His approach and action plan had to be prepared in a relatively short time to permit implenentation in January 2004. PANY Peak Gange Door, Inc, is a privately owned regional manufacturer of rexidential and commercial garage doors. Projected yearend company sales were $9.2million in 2003 with a net income of $460,000 (see Exhibit 1). The company manufactures both insthted and noninsulated steel residential and commercial garage doors and supplies springs, cables, rollers, and side roller tmacks for its products, Surveys of its dealers indicate that the majority of its doors are replacement purchases in the home remodeling segment of the residential housing market, with the balance of sales going to the new residential housing market and the commercial replacement garage door market. The company distetbutes its garage doors through 300 independent dealers that typically offer three different garage door manufacturer brands and 50 exclusive deaters that stock and sell only Peak gange doons. (Exclusive dealers often service competing brands of garage doors in their market area.) Combined, these 350 dealers service 150 markets in 11 western and Rocky Mountain stites and parts of noeth and west Texas." The exdusive dealers, however, are the sole Peak Garige Door dealers in 50 markets. According to Hawly, this disparity in distribution policy and market coverage occurred as a result of the company's early history in gaining distribution. Hawly added, "Peak does not have a policy on exclusive versus nonexclusive dealers. As it so happens, the 50 exclusive dealers have been consistent performers for us. We have chosen not to cistribute through other dealers in their markets given the mutually beneficial reiationship we have enjoyed." The 350 dealers that sell Peak gange doors engage in garnge door sales, installation, and service. Most dealers operite from a single location. All stock and sell garage door openers and hardware. The two major garige door opener suppliers are Overhead Door, which also sells the Genie beand, and Chamberlain, which makes openers under its own label, as well 25 Craftsman and LiftMaster brands. Ali 350 Peak Garage Door dealers are located in markets with populations of approximately 250,000or less. All 130 markets are roughly equivalent in teras of population and housing tanits according to U.S. Census 2000 figures. Peak: Garage Doon operates two distribation centers. These distribution centers allow the company to maintain an inventory of garage doors and handware near dealers for quick delivery. A distribution ficility also operates at the company's manufacturing plant. The company employs 10 technical siles representatives. Eight representatives call on independent (nonexclusive) dealers twice a month on average. Two representatives call on the 50 exclusive dexlers. EXHIBIT 1 Bark on 11ENTEAZ. GARAGE DOOR INTUSTRY The residential garage door industry in the United States was expected to post sales of $2 billion at manufacturer's prices in 2003. Steci garage doors account for 90 percent of industry sales. The home remodeling (replacement) market accounted for the balk of steel garage door sales. Demand for replacerent steel garage doors was driven by the continued aging of the housing stock in the United States and the conversion by homeowners from wood doors to lighter weight, easier-to-maintain steel doors. Also, product innovation such as insulated steel doors, new springing systems, and residential garage doors with improved safety features have made steel doors popular. Frojected 2004 sales of residential garage doors to the home remodeling market were $2.05 billion, representing a 2.4 percent increase. There are several karge national mantficturers and many regional and local manufacturers in the U.S. residential garage door industry. The largest garage door manufacturee in the United States is the Clopay Corponation, with annual sales that exceed $400 million. Clopay Corporation markets lts garnge doors through a network of some 2,000 independent dealers and large home center chains, including Home Depot, Menards, and Lowe's Companies. Other large, well-known garage door manuEacturers are Overhead Door Corporation, Waye-Dalton Corporation, Amatr Garage Doors, and Roynor Garage Doors. Peak Garage Doon, Inc, is considered to be one of the smaller tegional garage door manufacturers in the indastry. In early 2003, Richard Hawly commissioned two studies on the residential garage door industry in the markets served by Pcak Gantge Doon. One study was a survey of 3,000 prospective residential gange door buyers in 25 cities that represented a cross section of the company's markets. A summary of the survey results is shown in Exhibit 2, A second study was commissioned to ldentily the number of dealers that installed residential and commercial steel gange doors in the 150 markets served by Peak Garage Door and estimate thcir approximate sales volume. Telephone directories listing independent garage door sellers and installers were the primary data source for identifying the companies. Using industry data to adjust for sales of gatase door openers, labor installation charges, garige door and opener maintenance and repair revenue, and the like, this study identified 3,002 independent gatage door dealers with estimated 2003 steel garage door sales (at manuficturer prices after adjusting for matkups) of $316.8 milion, Replacement parts sold to dealers added another $31.7 million to the estimated garge door sales, bringing the total market size to $348.5 miltion in 2003 . This research also reported that indeperdent gange door dealces did not sell all brands of game doors carried at an equal rate. As a rule, for dealers that sold three different manufacturer brands, the dominant brand accounted for 60 percent of their sales, the second brand, 30 percent of sales, and the third brand, 10 percent of sales. Commenting on the research, Hawly said, "These numbers indicate that our market share is 2.6 percent. I know we can do better than that. In fact, the ambitious sales goal of $12.5 million in 2004 is achicvable given the potential existing in our present markets." Residential Garage Door Survey Results Summary: 2003 1. Residential garige door name awareness was very low. Just 10 percent of prospective buyers could provide a brand name when asked. 2. When asked what crikeria they would use in buying a new residental garape dooe price. quality, reliablity of the installer, and aesthetic appeal of the door were mentioned most frequently in that order. 3. Friends, relutives, and neighbors were the principal sources identifed when asked where they would look for information about residential gorape doors. The Yellow Pages and newspaper advertisements were the next most frequeatly mentioned Information soures. A company that may have installed or serviced a ganase door opener or repaired an existing door also wis considered an information source. 7. Thirty pereeat of prospective buyers expected to get at least two bids on a residential garige door installation. Virtually all expected to receive and review product literature, including warranty information, prior to installing a new door. 5. Fiften percent of prospectlve buyers said they would install their own residential garage door when a replacement was needed. 6. Steel gange doors were preferred to wood garage doons by a mine to one margin. DISTRIBUTION STRATEGY LSSUE The company planning process had affirmed the overall direction and performance of Peak Garage Door's sales and marketing initiatives with good reason. The company recorded sales gains in each of the past 10 years that exceeded the industry growth rate and had added 50 dealers in the past decade. The $12.5 milion sales goat for 2004 Was driven principally by supply considerations. Senion executives were of the firm belief that the company had to attain a larger critical mass of sales volume to preserve its buying position with supplicrs, particularly with respect to faw materials for its gerage doors, namely, galvanized steel and insulated foam. During the planning process, company executives agreed that additional investmeat in advertising and promotion dollars was necessary to achicve the ambitious sates goal. Accordingly, Hawly was able to increase his marketing budget by 20 percent for 2004. It was decided that this incremental expenditure should be directed at the 100 highest-poteatial markets currently served by Peak Garage Dooe. These included the 50 markets served by exclusive dealers and 50 markets served by independeat dealers, which had yet to be finalized. The remaining 50 markets and independent deat. ers would continue to receive the level of advertising and promotion support provided in 2003. This support was typically in the form of cooperative advertising allowances for Yellow Pages advertising, with additional incentlves for featuring the Peak Garige Door name, and product literiture Hawly saw his charge as determining the claancteristics, the number, and the locations of the dealers Peak Gamge Door would need to meet its sales goat of $12.5 million in 2004. Initially this would involve identilying the types of dealers that would work closely with Peak: Garage Door in meeting company objectives. A sumber of cifferent vicwpoints had been voiced by Hawly's fellow executlves. One viewpoint Gvored increasing the number of dealers in the markets currently served by the company. The reasoning behind this position was that it would be difficutt for existing deaters to attain the sales goal specified in the corporate plan. Executives expressing this view noted that even with a 2.4 percent increase in sales following the industry trend, if would be necessary to add at least another 100 dealers. They sidi these dealers would likely be independent (nonexclusive) dealers located in the 100 markets not served by exclusive dealerships. Hawly believed that adding another 100 dealers in its present markets over the next year would not be easy and would reguire increasing the sales force that serviced nonexclusive detlers. Executives acknowledged that this plan had more merik in the long run of, say, three to four yenrs. However, their idea had merit as a longterm distribution policy, they thought. The incremental direct cost of adding a sales representative was $80,000 per year. A second viewpoint fivored the development of a formal exclusive franchise program, since 27 nonexclusive dealers had posed such a possibility in the last year. Fach of these dealers reptesented a different market, and each of these matkets was consiclered to have high potential and be a candidate for the new advertising and promotion program. These dealers were prepared to sell off competing lines, most of which were supplied by regional and local garage door manufacturers. They would sell Peak gamge doors exclusively in their markes for a specified franchise fee. In exchange for the deater's contractua obligation to stock, install, and service the company's products in a specified manner consistent with Peak Garage Door's policies, the company would drop present dealers in their murkets and not add new dealers. Furthermore, these executives noted, the company's current contractual arrangements with its independent dealers allowed for cancellation by either party, without cause, with 90 days' advance notification. Thus, the program could be implemented during the traditionally' slow first quarter of the upcoming year. If adopted, company executives believed the franchise program in these 27 markets could be served by the advertising and promotion program. The other 50 markets served by exclusive dealers would be unaffected, since the advertising and promotion program was atready budgeted for these dealers. The remaining 73 markets would also be unaffected, except for increased advertising in 23 high potential markets. A third viewpolnt called for a general reduction in the number of dealerships without granting any formal exclusive fnanchises. Executives supporting thls approach clted a number of factors favoring it. First, analysis of dealers' sales indicated that 50 of Peak Garuge Door's dealers (all exclusive dealers) produced 70 percent of company sales. This stecess was achieved without a formal fnanchise program. Second, these executives believed that committing the company to an exchusive franchise program could limit its flexiblility in the future. And, third, an improvement in salesforce effort and possibly increased sales might result if more time were given to fewer dealers. Although a number had not been set, some considenation had been given to the idea of reducing the number of dealers in the 150 markets served by the company from 350 to 250 . This would mean that the 50 exclusive dealers would be retained and 200 nonexchsive dealers would operate in the remaining 100 markets of which the top 50 would bencfit from the additional marketing spendiog. A fourth viewpolnt voiced by several executives was not to change either the distribution strategy of the dealers. Rather, they belleved that the company should do a better job with the cuerent distribution policy and network
Step by Step Solution
There are 3 Steps involved in it
Get step-by-step solutions from verified subject matter experts
