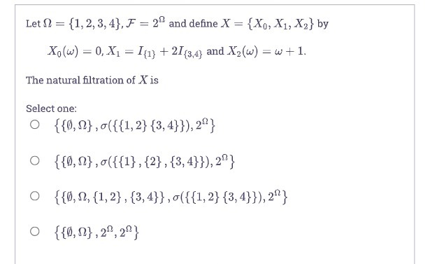
Question: Let 0 = {1, 2, 3, 4}, F = 2 and define X = {Xo, X1, X2} by Xo(w) = 0, X1 = In +

Step by Step Solution
There are 3 Steps involved in it
1 Expert Approved Answer
Step: 1 Unlock
Question Has Been Solved by an Expert!
Get step-by-step solutions from verified subject matter experts
Step: 2 Unlock
Step: 3 Unlock
