Question: Let A , B be sets. Determine whether the following statement is true: If f : x Y and g : Y Z are functions
Let be sets. Determine whether the following statement is true: If : and : are functions and @ is onetoone, must be oneto
one? Justify your answer. Determine whether or not the following is true:
and yinZ,; Let and be three matrices. Determine whether the following is true:
a Let find and draw the digraph corresponding to
b Find the adjacency matrix for the following directed graph:
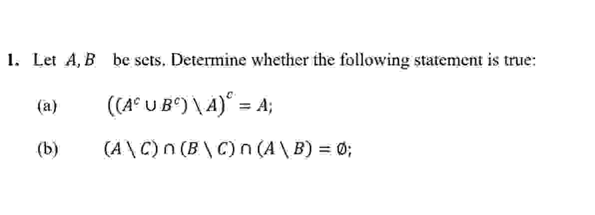
a
b;
Step by Step Solution
There are 3 Steps involved in it
1 Expert Approved Answer
Step: 1 Unlock
Question Has Been Solved by an Expert!
Get step-by-step solutions from verified subject matter experts
Step: 2 Unlock
Step: 3 Unlock
